Официальное опубликование правовых актов
ОФИЦИАЛЬНОЕ ОПУБЛИКОВАНИЕ
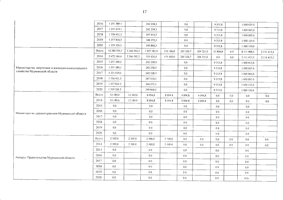
Постановление Правительства Мурманской области от 30.06.2015 № 282-ПП
"О внесении изменений в государственную программу Мурманской области "Энергоэффективность и развитие энергетики"
Номер опубликования: 5100201507030001
Дата опубликования: 03.07.2015
Страница №18 из 36:
Увеличить