Официальное опубликование правовых актов
ОФИЦИАЛЬНОЕ ОПУБЛИКОВАНИЕ
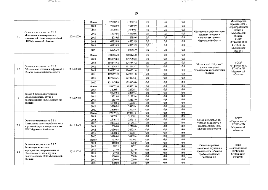
Постановление Правительства Мурманской области от 24.06.2015 № 259-ПП
"О внесении изменений в государственную программу Мурманской области "Обеспечение общественного порядка и безопасности населения региона"
Номер опубликования: 5100201506290010
Дата опубликования: 29.06.2015
Страница №20 из 31:
Увеличить