Официальное опубликование правовых актов
ОФИЦИАЛЬНОЕ ОПУБЛИКОВАНИЕ
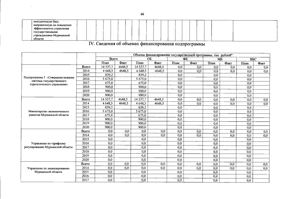
Постановление Правительства Мурманской области от 03.06.2015 № 223-ПП
"О внесении изменений в государственную программу Мурманской области "Развитие экономического потенциала и формирование благоприятного предпринимательского климата"
Номер опубликования: 5100201506100003
Дата опубликования: 10.06.2015
Страница №67 из 76:
Увеличить