Официальное опубликование правовых актов
ОФИЦИАЛЬНОЕ ОПУБЛИКОВАНИЕ
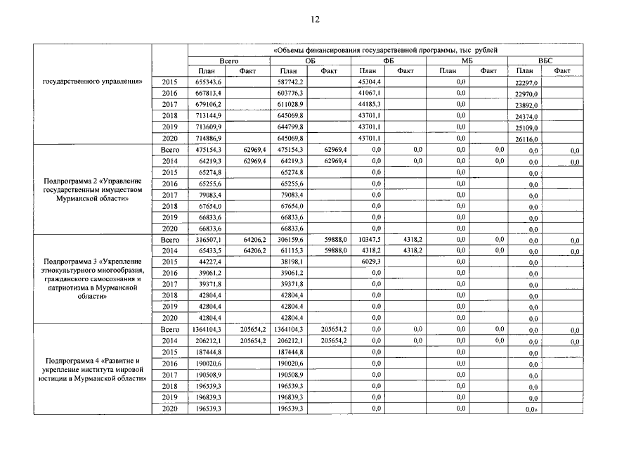
Постановление Правительства Мурманской области от 02.06.2015 № 217-ПП
"О внесении изменений в государственную программу Мурманской области "Государственное управление и гражданское общество"
Номер опубликования: 5100201506050002
Дата опубликования: 05.06.2015
Страница №13 из 60:
Увеличить