Официальное опубликование правовых актов
ОФИЦИАЛЬНОЕ ОПУБЛИКОВАНИЕ
Постановление Правительства Мурманской области от 28.05.2015 № 211-ПП
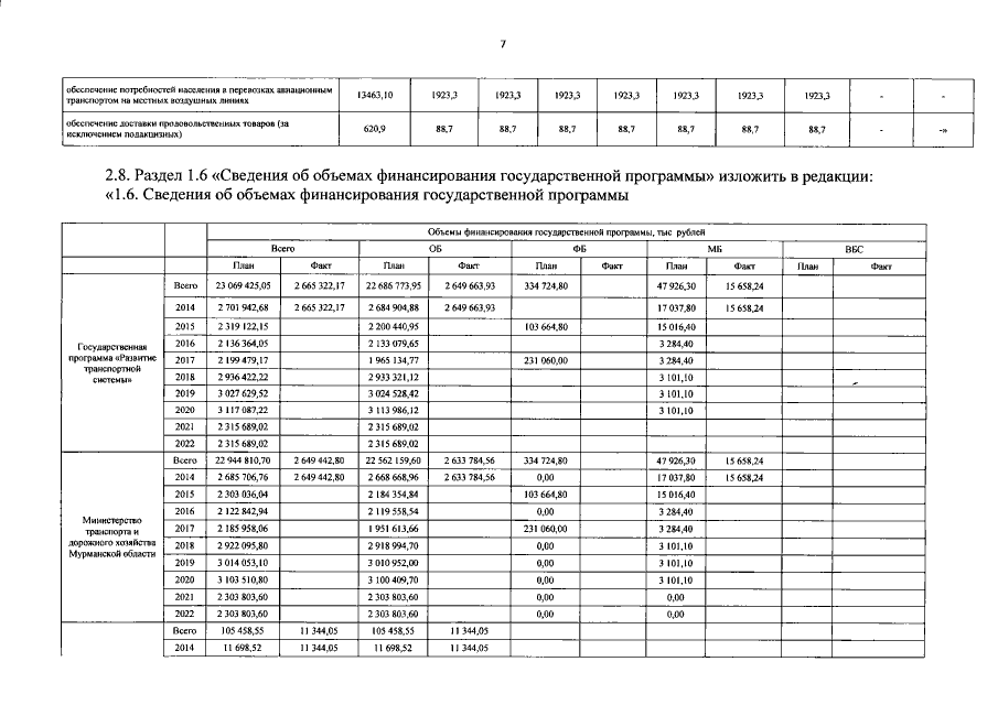
"О внесении изменений в государственную программу Мурманской области "Развитие транспортной системы"
Номер опубликования: 5100201506020008
Дата опубликования: 02.06.2015
Страница №8 из 60:
Увеличить