Официальное опубликование правовых актов
ОФИЦИАЛЬНОЕ ОПУБЛИКОВАНИЕ
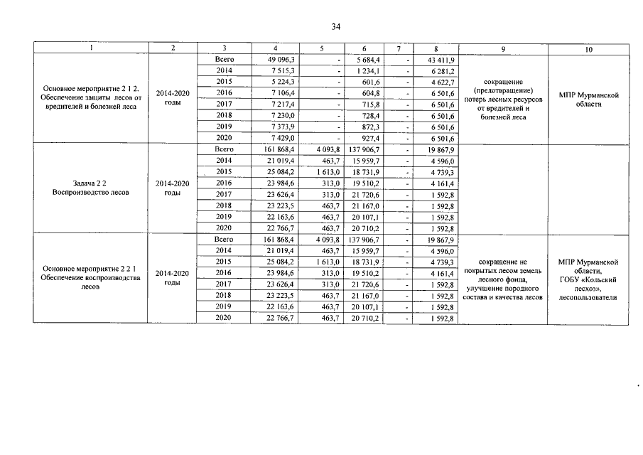
Постановление Правительства Мурманской области от 20.05.2015 № 190-ПП
"О внесении изменений в государственную программу Мурманской области "Охрана окружающей среды и воспроизводство природных ресурсов"
Номер опубликования: 5100201505250006
Дата опубликования: 25.05.2015
Страница №35 из 55:
Увеличить