Официальное опубликование правовых актов
ОФИЦИАЛЬНОЕ ОПУБЛИКОВАНИЕ
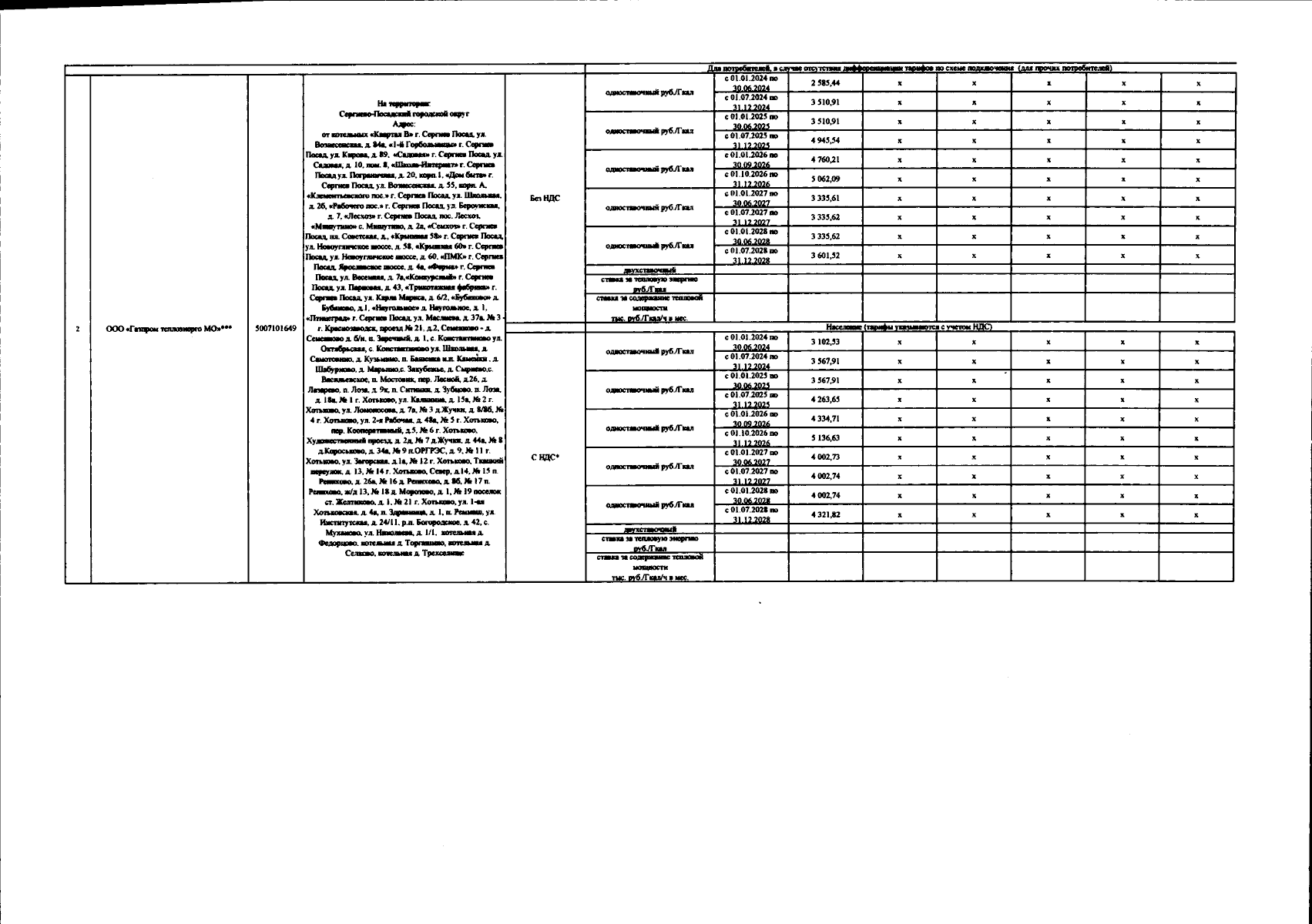
Распоряжение Комитета по ценам и тарифам Московской области от 06.02.2026 № 20-Р
"О внесении изменений в некоторые распоряжения Комитета по ценам и тарифам Московской области в сфере теплоснабжения"
(Зарегистрирован 10.02.2026 № 32-120/2026)
Номер опубликования: 5001202602110005
Дата опубликования: 11.02.2026
Страница №8 из 17:
Увеличить