Официальное опубликование правовых актов
ОФИЦИАЛЬНОЕ ОПУБЛИКОВАНИЕ
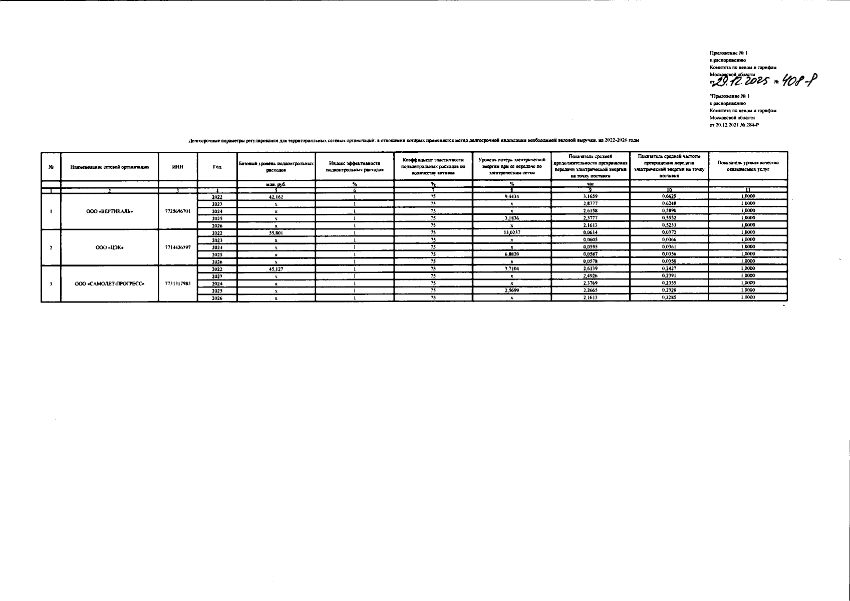
Распоряжение Комитета по ценам и тарифам Московской области от 29.12.2025 № 408-Р
"О внесении изменений в некоторые распоряжения Комитета по ценам и тарифам Московской области"
(Зарегистрирован 30.12.2025 № 32-1457/2025)
Номер опубликования: 5001202512310006
Дата опубликования: 31.12.2025
Страница №4 из 18:
Увеличить