Официальное опубликование правовых актов
ОФИЦИАЛЬНОЕ ОПУБЛИКОВАНИЕ
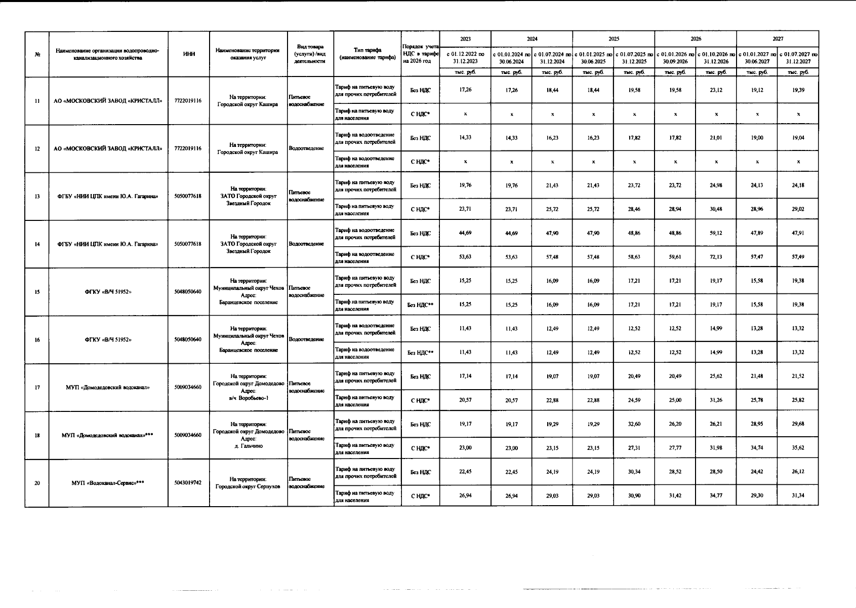
Распоряжение Комитета по ценам и тарифам Московской области от 19.12.2025 № 376-Р
"О внесении изменений в некоторые распоряжения Комитета по ценам и тарифам Московской области в части корректировки тарифов в сфере водоснабжения и водоотведения на 2026 год"
(Зарегистрирован 25.12.2025 № 32-1409/2025)
Номер опубликования: 5001202512290009
Дата опубликования: 29.12.2025
Страница №69 из 83:
Увеличить