Официальное опубликование правовых актов
ОФИЦИАЛЬНОЕ ОПУБЛИКОВАНИЕ
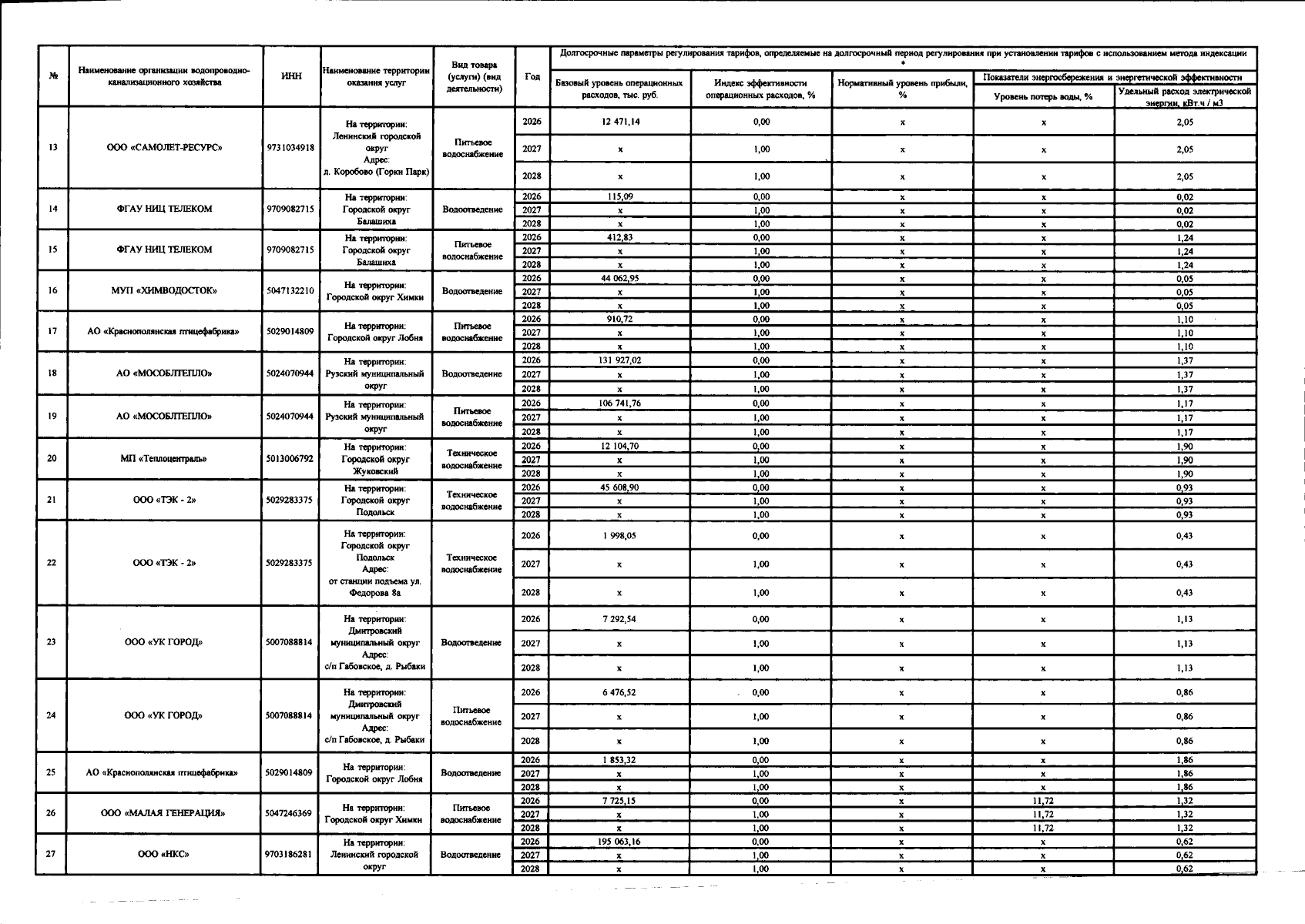
Распоряжение Комитета по ценам и тарифам Московской области от 19.12.2025 № 367-Р
"Об установлении долгосрочных параметров регулирования и тарифов в сфере водоснабжения и водоотведения на 2026-2028 годы для организаций на территории Московской области"
(Зарегистрирован 24.12.2025 № 32-1395/2025)
Номер опубликования: 5001202512260002
Дата опубликования: 26.12.2025
Страница №4 из 13:
Увеличить