Официальное опубликование правовых актов
ОФИЦИАЛЬНОЕ ОПУБЛИКОВАНИЕ
Распоряжение Главного управления культурного наследия Московской области от 24.12.2025 № 06РВ-892
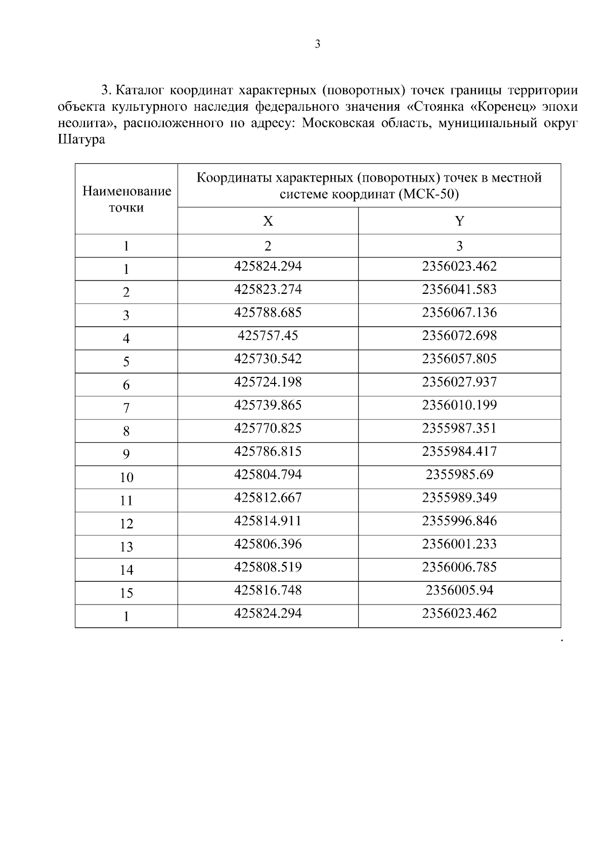
"Об утверждении границы территории и режима использования территории объекта культурного наследия федерального значения "Стоянка "Коренец" эпохи неолита", расположенного по адресу: Московская область, муниципальный округ Шатура"
(Зарегистрирован 24.12.2025 № 26-1380/2025)
Номер опубликования: 5001202512250034
Дата опубликования: 25.12.2025
Страница №5 из 6:
Увеличить