Официальное опубликование правовых актов
ОФИЦИАЛЬНОЕ ОПУБЛИКОВАНИЕ
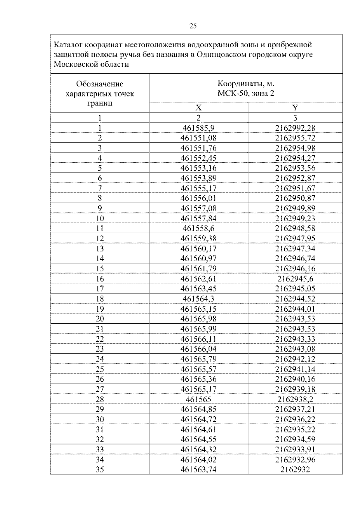
Распоряжение Министерства экологии и природопользования Московской области от 18.11.2025 № 1421-РМ
"О внесении изменений в Перечень водных объектов, для которых устанавливаются местоположение береговых линий ( границ водных объектов), границы водоохранных зон и границы прибрежных защитных полос на территории Московской области"
(Зарегистрирован 18.11.2025 № 15-1136/2025)
Номер опубликования: 5001202511190003
Дата опубликования: 19.11.2025
Страница №27 из 104:
Увеличить