Официальное опубликование правовых актов
ОФИЦИАЛЬНОЕ ОПУБЛИКОВАНИЕ
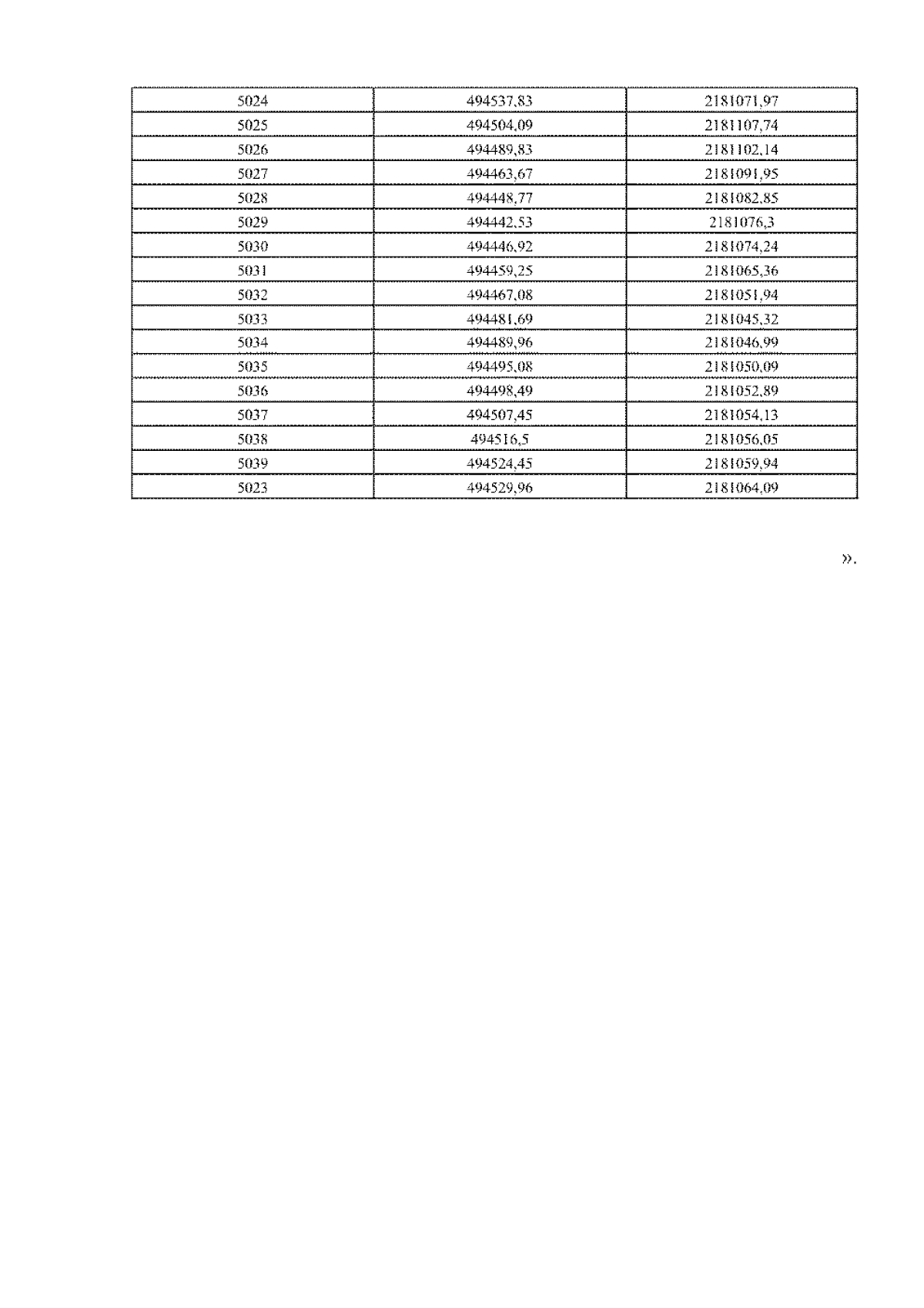
Распоряжение Министерства экологии и природопользования Московской области от 18.11.2025 № 1420-РМ
"О внесении изменений в распоряжение и приложения к распоряжению Министерства экологии и природопользования Московской области от 27.01.2022 № 84-РМ "Об определении местоположения береговых линий ( границ водного объекта), установлении границ водоохранной зоны, прибрежной защитной полосы рек расположенных на территории Московской области"
(Зарегистрирован 18.11.2025 № 15-1135/2025)
Номер опубликования: 5001202511190002
Дата опубликования: 19.11.2025
Страница №292 из 292:
Увеличить