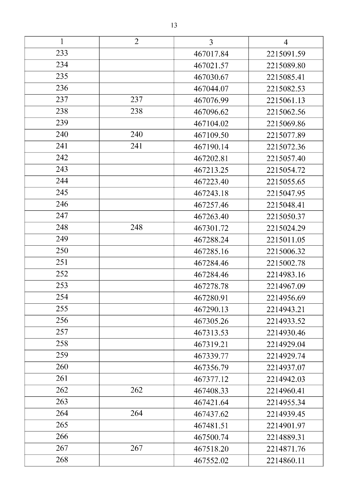
Распоряжение Главного управления культурного наследия Московской области от 12.11.2025 № 06РВ-660
"Об утверждении границ территории и режима использования территории объекта культурного наследия регионального значения "Усадьба "Никольское": парк с прудами, ХVII - ХIХ вв.", расположенного по адресу: Московская область, Городской округ Балашиха, город Балашиха, микрорайон Салтыковка"
(Зарегистрирован 12.11.2025 № 26-1107/2025)
"Об утверждении границ территории и режима использования территории объекта культурного наследия регионального значения "Усадьба "Никольское": парк с прудами, ХVII - ХIХ вв.", расположенного по адресу: Московская область, Городской округ Балашиха, город Балашиха, микрорайон Салтыковка"
(Зарегистрирован 12.11.2025 № 26-1107/2025)
Номер опубликования: 5001202511140001
Дата опубликования:
14.11.2025
