Официальное опубликование правовых актов
ОФИЦИАЛЬНОЕ ОПУБЛИКОВАНИЕ
Распоряжение Министерства экологии и природопользования Московской области от 22.10.2025 № 1318-РМ
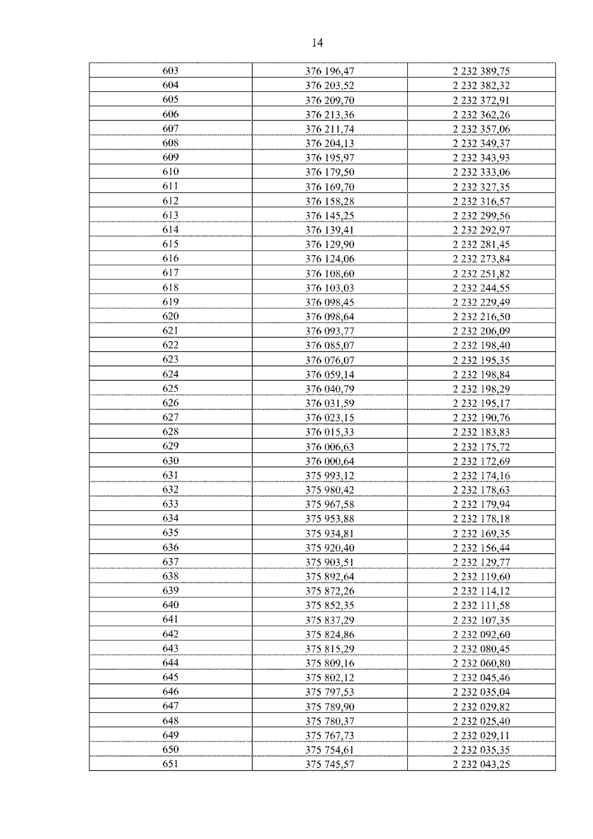
"О внесении изменений в Приложения к распоряжению Министерства экологии и природопользования Московской области от 04.04.2023 № 465-РМ "Об определении местоположения береговых линий (границ водного объекта), установлении границ водоохранной зоны, прибрежной защитной полосы реки Хочемки в городских округах Ступино, Коломна, Московской области"
(Зарегистрирован 22.10.2025 № 15/1033/2025)
Номер опубликования: 5001202510240003
Дата опубликования: 24.10.2025
Страница №17 из 67:
Увеличить