Официальное опубликование правовых актов
ОФИЦИАЛЬНОЕ ОПУБЛИКОВАНИЕ
Распоряжение Министерства экологии и природопользования Московской области от 15.08.2025 № 959-РМ
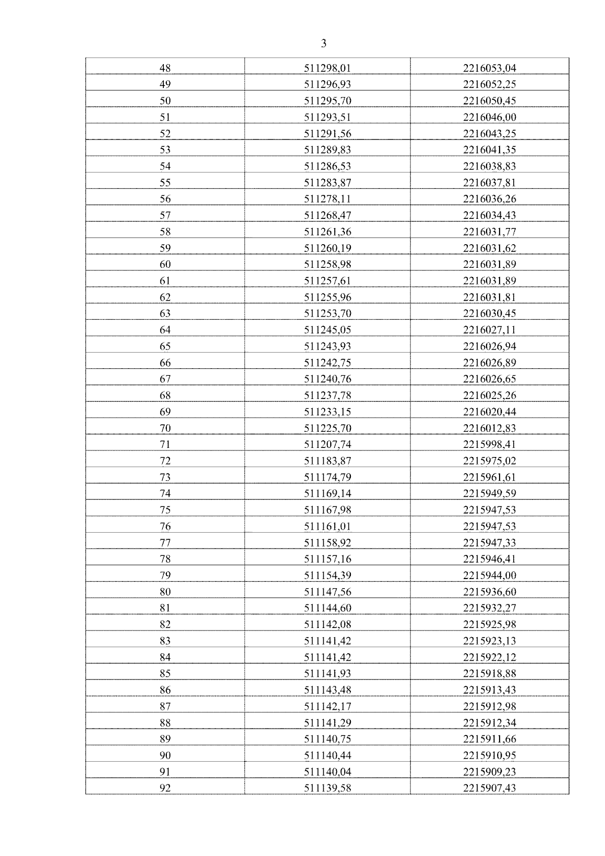
"О внесении изменений в Перечень водных объектов, для которых устанавливаются местоположение береговых линий (границы водных объектов), границы водоохранных зон и границы прибрежных защитных полос на территории Московской области"
(Зарегистрирован 15.08.2025 № 15-722/2025)
Номер опубликования: 5001202508190001
Дата опубликования: 19.08.2025
Страница №5 из 30:
Увеличить