Официальное опубликование правовых актов
ОФИЦИАЛЬНОЕ ОПУБЛИКОВАНИЕ
Распоряжение Министерства экологии и природопользования Московской области от 07.07.2025 № 781-РМ
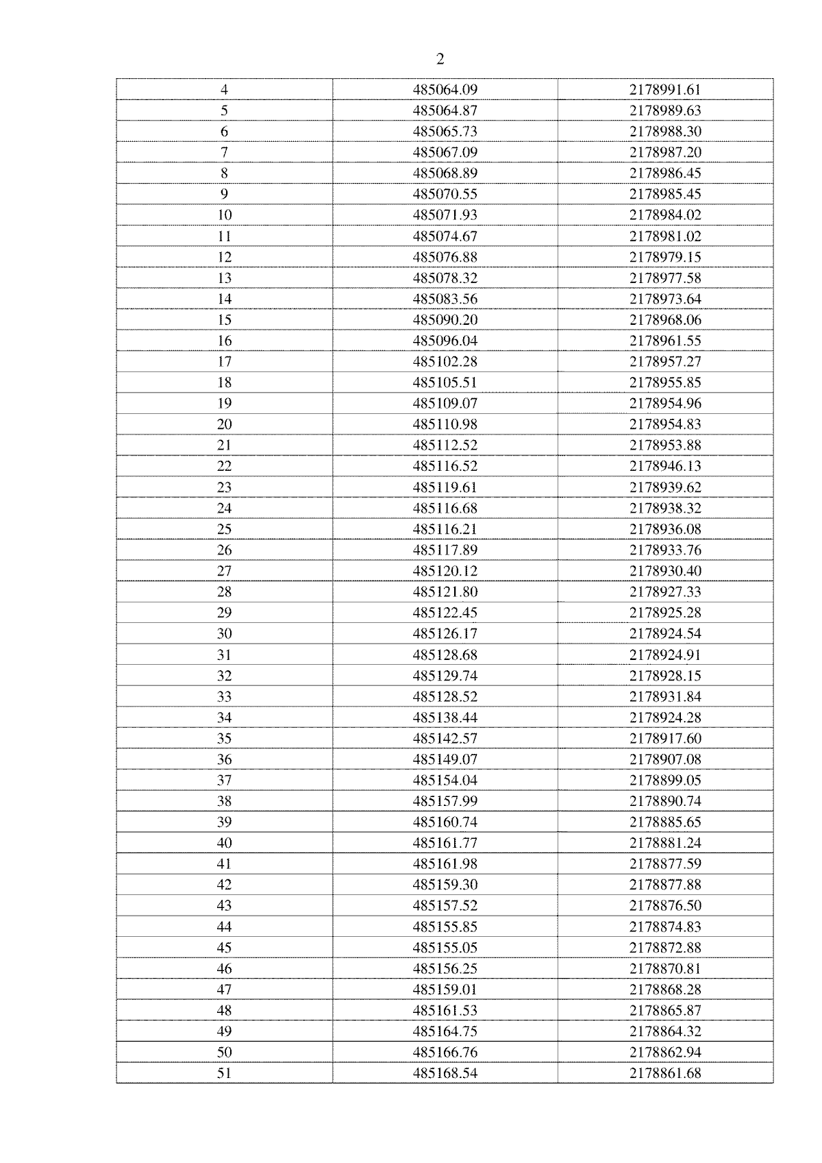
"О внесении изменений в Перечень водных объектов, для которых устанавливаются местоположение береговых линий (границы водных объектов), границы водоохранных зон и границы прибрежных защитных полос на территории Московской области"
(Зарегистрирован 07.07.2025 № 15-611/2025)
Номер опубликования: 5001202507090004
Дата опубликования: 09.07.2025
Страница №4 из 36:
Увеличить