Официальное опубликование правовых актов
ОФИЦИАЛЬНОЕ ОПУБЛИКОВАНИЕ
Распоряжение Министерства здравоохранения Московской области от 20.06.2025 № 271-Р
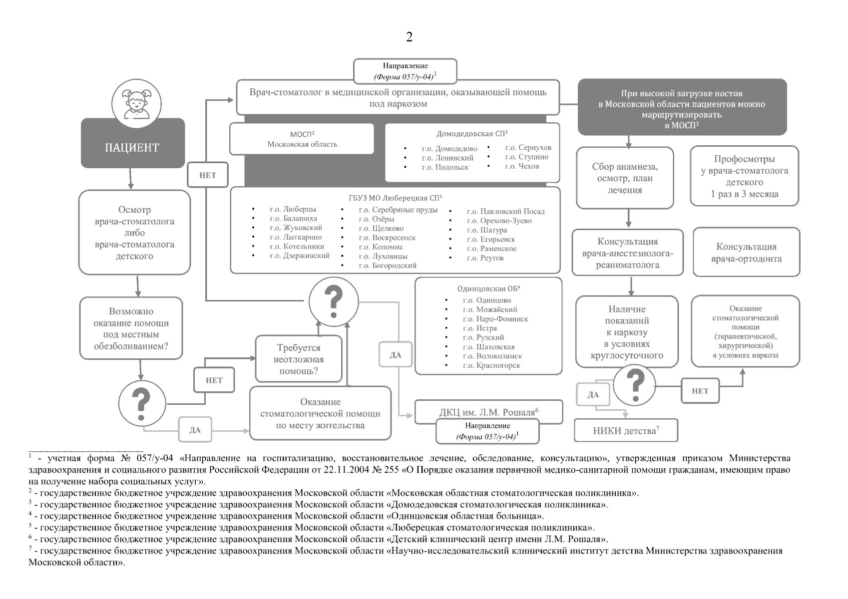
"О маршрутизации детского населения Московской области со стоматологическими заболеваниями, нуждающегося в медицинской помощи с применением анестезиологического пособия"
(Зарегистрирован 23.06.2025 № 03-564/2025)
Номер опубликования: 5001202506230004
Дата опубликования: 23.06.2025
Страница №8 из 8:
Увеличить