Официальное опубликование правовых актов
ОФИЦИАЛЬНОЕ ОПУБЛИКОВАНИЕ
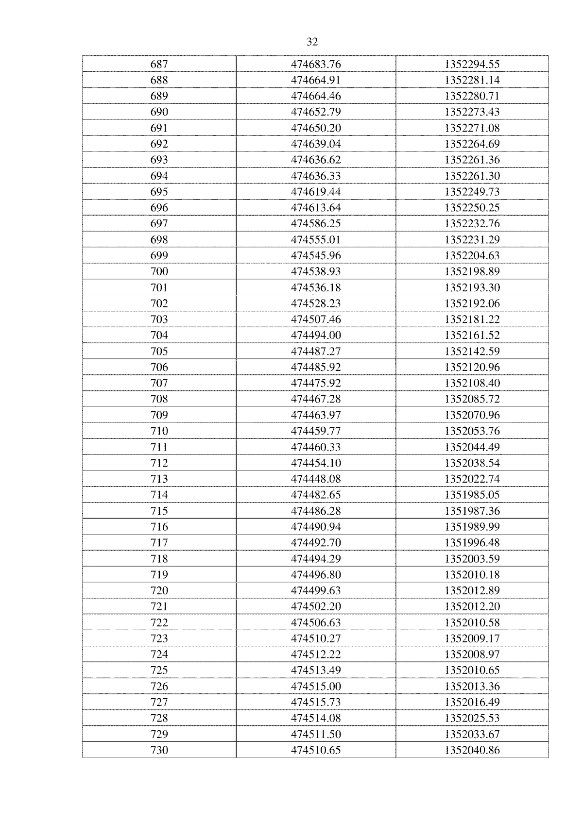
Распоряжение Министерства экологии и природопользования Московской области от 18.06.2025 № 692-РМ
"О внесении изменений в Перечень водных объектов, для которых устанавливаются местоположение береговых линий (границы водных объектов), границы водоохранных зон и границы прибрежных защитных полос на территории Московской области"
(Зарегистрирован 18.06.2025 № 15-551/2025)
Номер опубликования: 5001202506200002
Дата опубликования: 20.06.2025
Страница №34 из 37:
Увеличить