Официальное опубликование правовых актов
ОФИЦИАЛЬНОЕ ОПУБЛИКОВАНИЕ
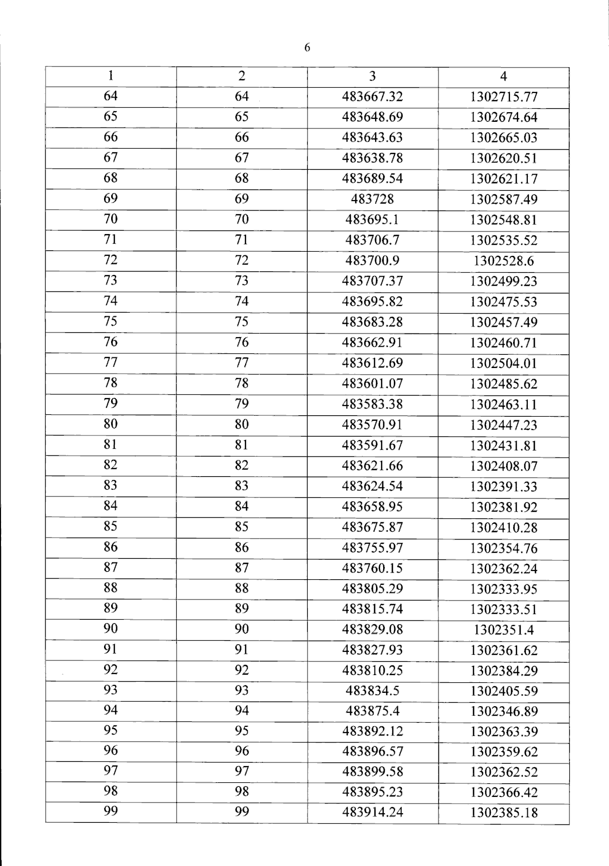
Распоряжение Главного управления культурного наследия Московской области от 29.05.2025 № 06РВ-297
"Об утверждении границы территории и режима использования территории объекта культурного наследия регионального значения "Усадьба Покровское-Шереметьево, ХVIII в.", расположенного по адресу: Московская область, Рузский муниципальный округ, село Покровское"
(Зарегистрирован 29.05.2025 № 26-407/2025)
Номер опубликования: 5001202506020002
Дата опубликования: 02.06.2025
Страница №8 из 11:
Увеличить