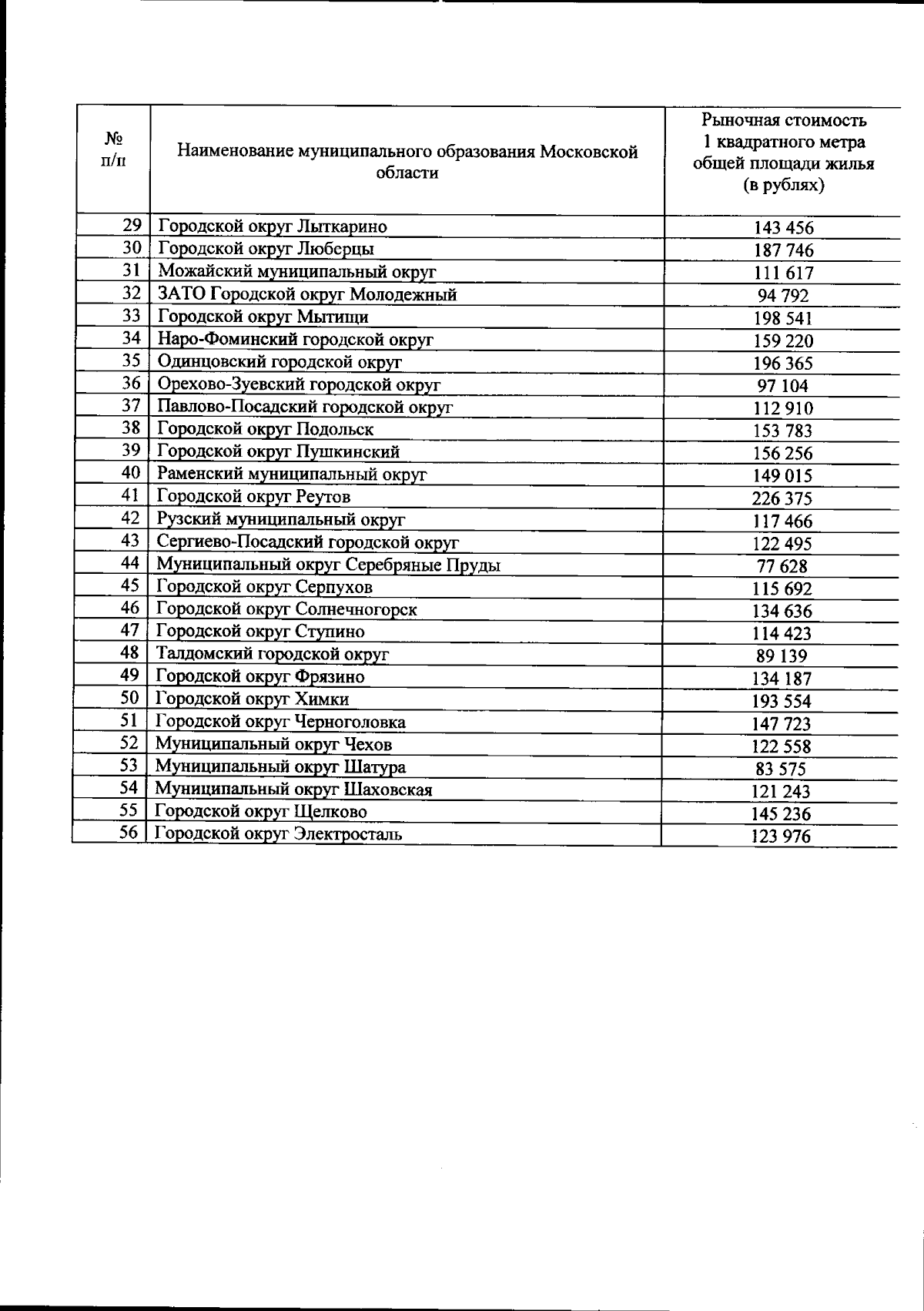
Распоряжение Комитета по ценам и тарифам Московской области от 22.04.2025 № 89-Р
"Об установлении средней рыночной стоимости 1 квадратного метра общей площади жилья по муниципальным образованиям Московской области и среднего значения рыночной стоимости 1 квадратного метра общей площади жилья в целом по Московской области на III, IV кварталы 2025 года"
(Зарегистрирован 24.04.2025 № 32-374/2025)
"Об установлении средней рыночной стоимости 1 квадратного метра общей площади жилья по муниципальным образованиям Московской области и среднего значения рыночной стоимости 1 квадратного метра общей площади жилья в целом по Московской области на III, IV кварталы 2025 года"
(Зарегистрирован 24.04.2025 № 32-374/2025)
Номер опубликования: 5001202504280005
Дата опубликования:
28.04.2025
