Официальное опубликование правовых актов
ОФИЦИАЛЬНОЕ ОПУБЛИКОВАНИЕ
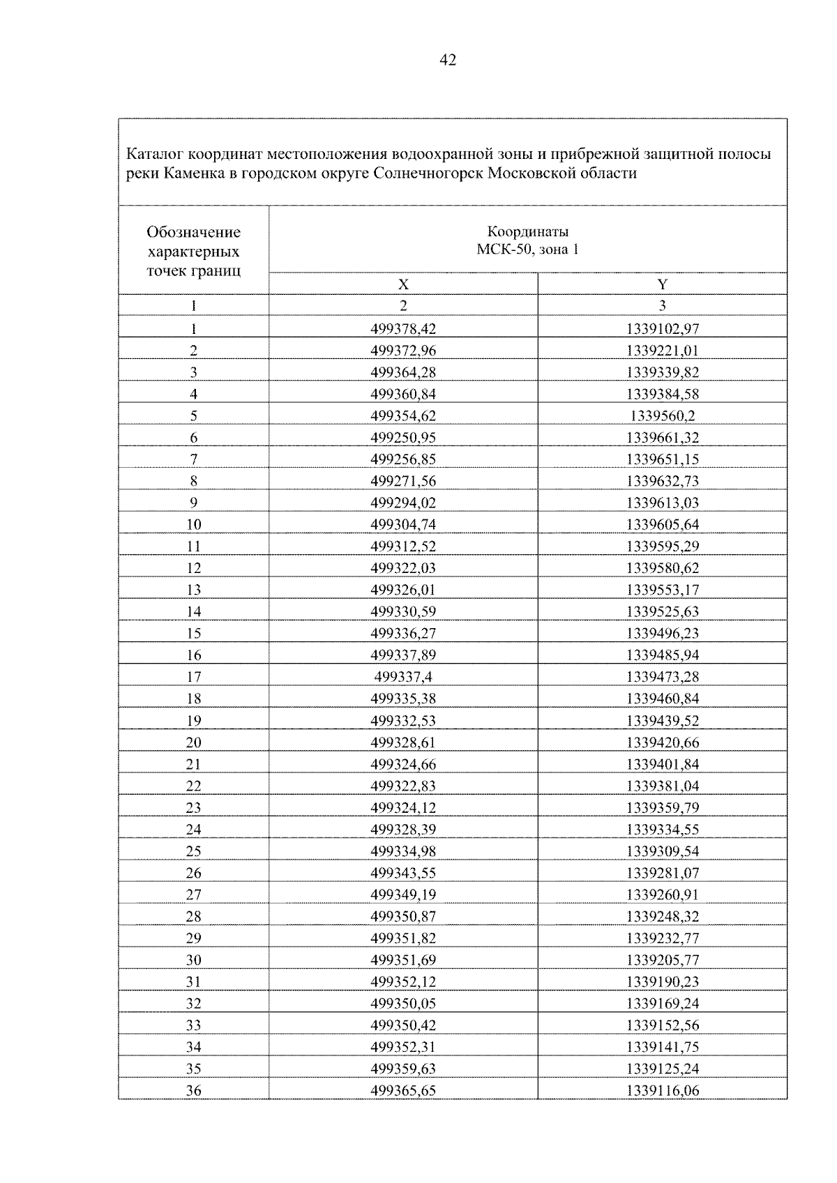
Распоряжение Министерства экологии и природопользования Московской области от 06.03.2025 № 252-РМ
"О внесении изменений в Перечень водных объектов, для которых устанавливаются местоположение береговых линий (границы водных объектов), границы водоохранных зон и границы прибрежных защитных полос на территории Московской области"
(Зарегистрирован 07.03.2025 № 15-226)
Номер опубликования: 5001202503110004
Дата опубликования: 11.03.2025
Страница №44 из 99:
Увеличить