Официальное опубликование правовых актов
ОФИЦИАЛЬНОЕ ОПУБЛИКОВАНИЕ
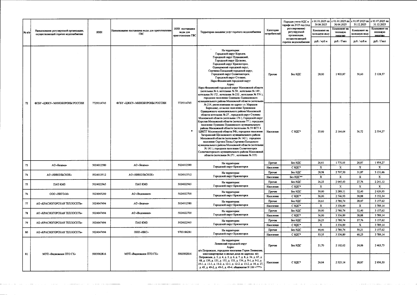
Распоряжение Комитета по ценам и тарифам Московской области от 20.12.2024 № 332-Р
"Об установлении тарифов на горячую воду на 2025 год"
(Зарегистрирован 25.12.2024 № 32-918/2024)
Номер опубликования: 5001202412280002
Дата опубликования: 28.12.2024
Страница №10 из 20:
Увеличить