Официальное опубликование правовых актов
ОФИЦИАЛЬНОЕ ОПУБЛИКОВАНИЕ
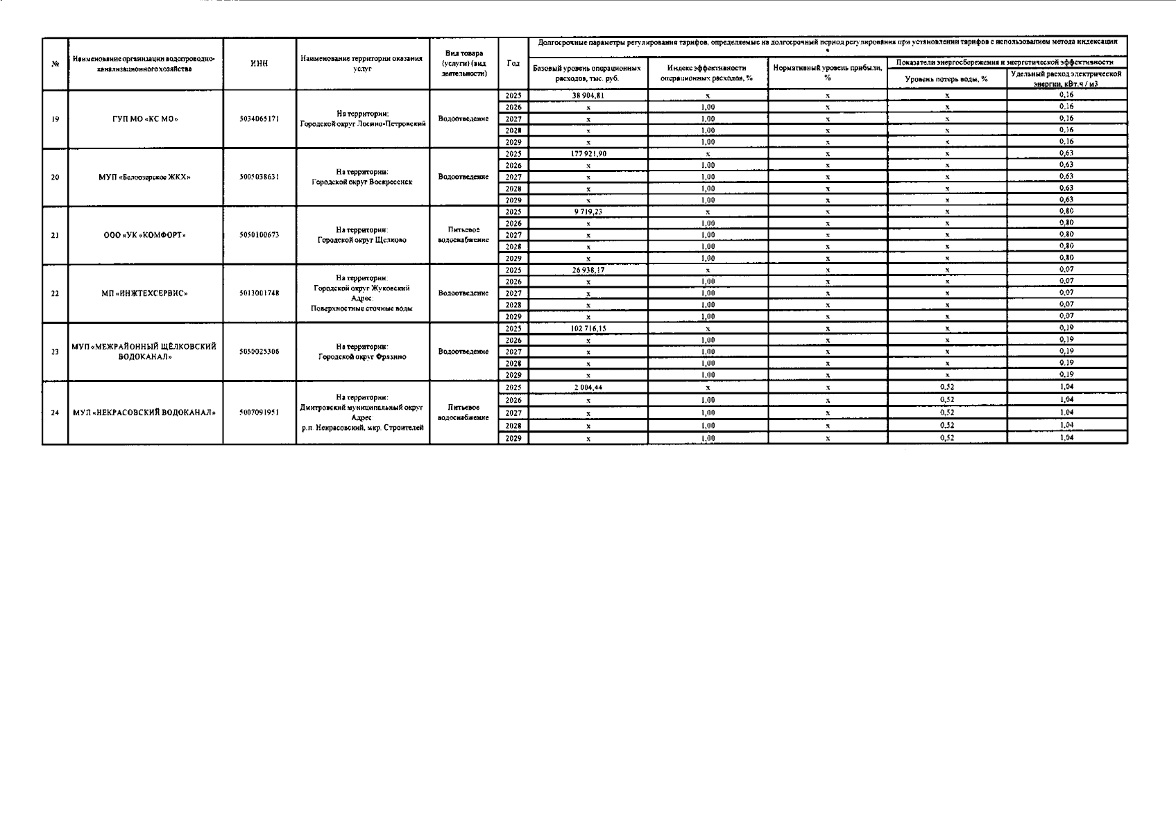
Распоряжение Комитета по ценам и тарифам Московской области от 20.12.2024 № 326-Р
"Об установлении долгосрочных параметров регулирования и тарифов в сфере водоснабжения и водоотведения на 2025-2029 годы для организаций на территории Московской области"
(Зарегистрирован 24.12.2024 № 32-905/2024)
Номер опубликования: 5001202412260007
Дата опубликования: 26.12.2024
Страница №7 из 11:
Увеличить