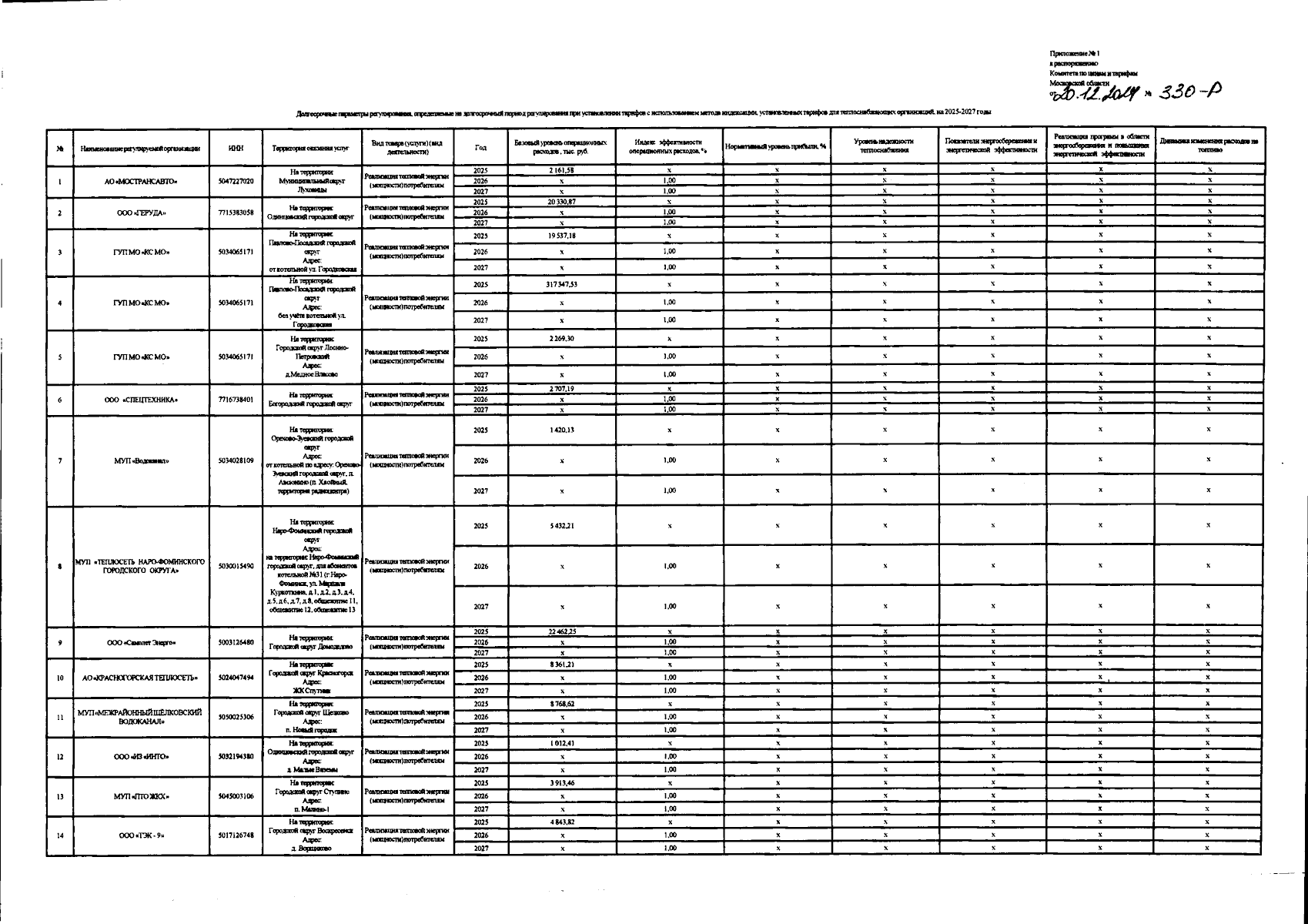
Распоряжение Комитета по ценам и тарифам Московской области от 20.12.2024 № 330-Р
"Об установлении долгосрочных параметров регулирования и тарифов в сфере теплоснабжения на 2025-2027 годы для организаций на территории Московской области"
(Зарегистрирован 24.12.2024 № 32-908/2024)
"Об установлении долгосрочных параметров регулирования и тарифов в сфере теплоснабжения на 2025-2027 годы для организаций на территории Московской области"
(Зарегистрирован 24.12.2024 № 32-908/2024)
Номер опубликования: 5001202412260005
Дата опубликования:
26.12.2024
