Официальное опубликование правовых актов
ОФИЦИАЛЬНОЕ ОПУБЛИКОВАНИЕ
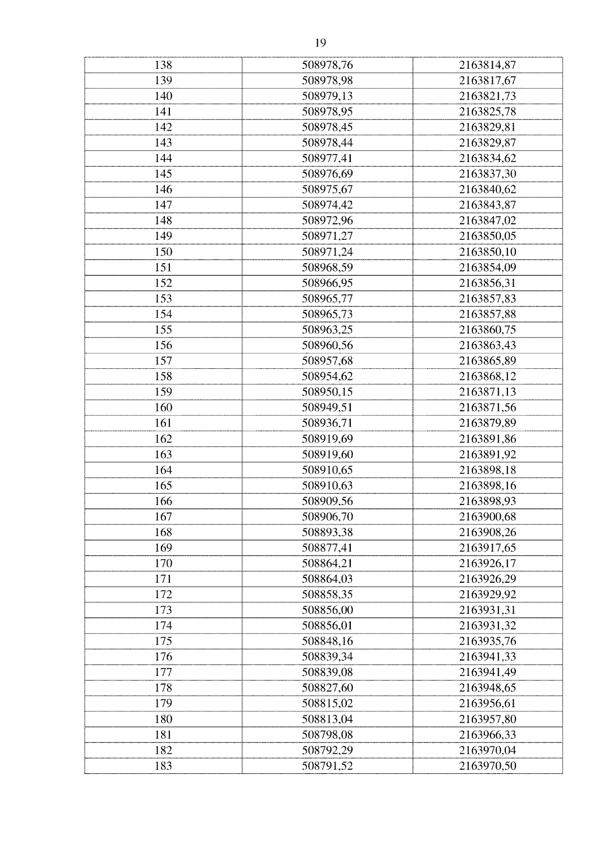
Распоряжение Министерства экологии и природопользования Московской области от 02.12.2024 № 1586-РМ
"О внесении изменений в Перечень водных объектов, для которых устанавливаются местоположение береговых линий (границ водных объектов), границы водоохранных зон и границы прибрежных защитных волос на территории Московской области"
Номер опубликования: 5001202412050004
Дата опубликования: 05.12.2024
Страница №21 из 48:
Увеличить