Официальное опубликование правовых актов
ОФИЦИАЛЬНОЕ ОПУБЛИКОВАНИЕ
Распоряжение Министерства экологии и природопользования Московской области от 11.11.2024 № 1477-РМ
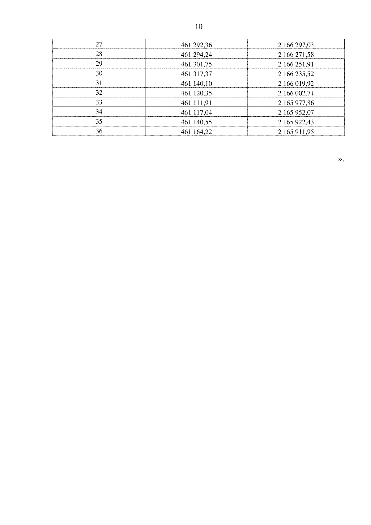
"Об определении местоположения береговых линий (границ водного объекта), установлении границ водоохранной зоны, прибрежной защитной полосы ручья без названия (левого притока р. Медвенка) в Одинцовском городском округе Московской области"
Номер опубликования: 5001202411120001
Дата опубликования: 12.11.2024
Страница №13 из 13:
Увеличить