Официальное опубликование правовых актов
ОФИЦИАЛЬНОЕ ОПУБЛИКОВАНИЕ
Распоряжение Министерства экологии и природопользования Московской области от 02.11.2024 № 1445-РМ
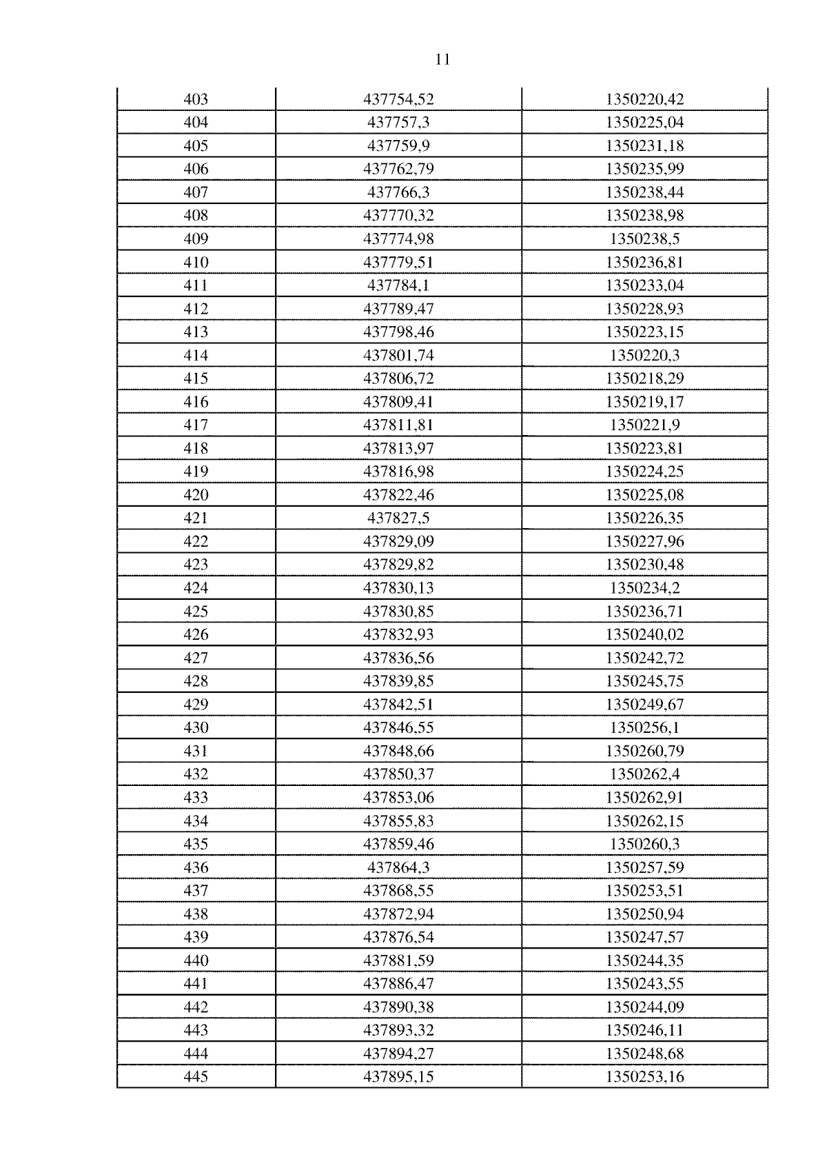
"О внесении изменений в распоряжение Министерства экологии и природопользования Московской области от 14.08.2023 № 2146-РМ "Об определении местоположения береговых линий (границ водного объекта), установлении границ водоохранной зоны, прибрежной защитной полосы ручья Жедочи в Наро-Фоминском городском округе Московской области"
Номер опубликования: 5001202411060005
Дата опубликования: 06.11.2024
Страница №14 из 114:
Увеличить