Официальное опубликование правовых актов
ОФИЦИАЛЬНОЕ ОПУБЛИКОВАНИЕ
Распоряжение Министерства экологии и природопользования Московской области от 01.11.2024 № 1442-РМ
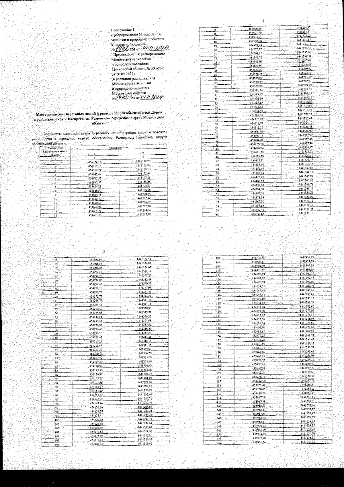
"О внесении изменений в Приложения к распоряжению Министерства экологии и природопользования Московской области от 20.05.2022 № 534-РМ "Об определении местоположения береговых линий (границ водного объекта), установлении границ водоохранной зоны и прибрежной защитной полосы реки Дорка в городском округе Воскресенск, Раменском городском округе Московской области"
Номер опубликования: 5001202411060003
Дата опубликования: 06.11.2024
Страница №4 из 209:
Увеличить