Официальное опубликование правовых актов
ОФИЦИАЛЬНОЕ ОПУБЛИКОВАНИЕ
Распоряжение Министерства сельского хозяйства и продовольствия Московской области от 10.10.2024 № 19РВ-285
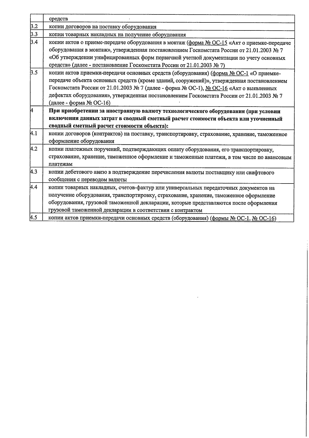
"Об утверждении Порядков приёма документов для участия в конкурсных отборах инвестиционных проектов, а также заявок на возмещение части затрат на приобретение и ввод в промышленную эксплуатацию маркировочного оборудования для внедрения обязательной маркировки отдельных видов молочной продукции, проводимых Министерством сельского хозяйства Российской Федерации"
(Зарегистрирован 10.10.2024 № 10-442/2024)
Номер опубликования: 5001202410160001
Дата опубликования: 16.10.2024
Страница №21 из 38:
Увеличить