Официальное опубликование правовых актов
ОФИЦИАЛЬНОЕ ОПУБЛИКОВАНИЕ
Постановление Правительства Московской области от 26.12.2025 № 1814-ПП
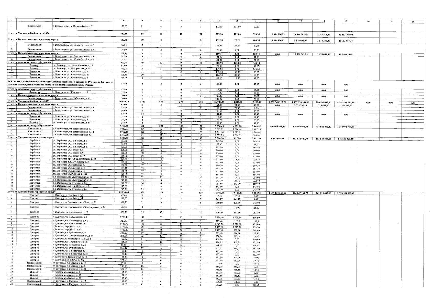
"О перераспределении бюджетных ассигнований бюджета Московской области и внесении изменений в государственную программу Московской области "Переселение граждан из аварийного жилищного фонда в Московской области"
Номер опубликования: 5000202512300001
Дата опубликования: 30.12.2025
Страница №19 из 95:
Увеличить