Постановление Правительства Московской области от 19.09.2025 № 1203-ПП
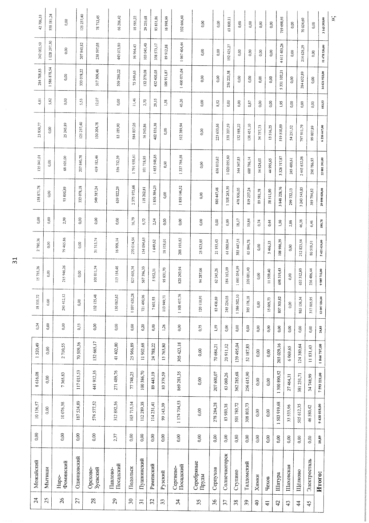
"О внесении изменений в государственную программу Московской области "Переселение граждан из аварийного жилищного фонда в Московской области"
"О внесении изменений в государственную программу Московской области "Переселение граждан из аварийного жилищного фонда в Московской области"
Номер опубликования: 5000202510100006
Дата опубликования:
10.10.2025
