Официальное опубликование правовых актов
ОФИЦИАЛЬНОЕ ОПУБЛИКОВАНИЕ
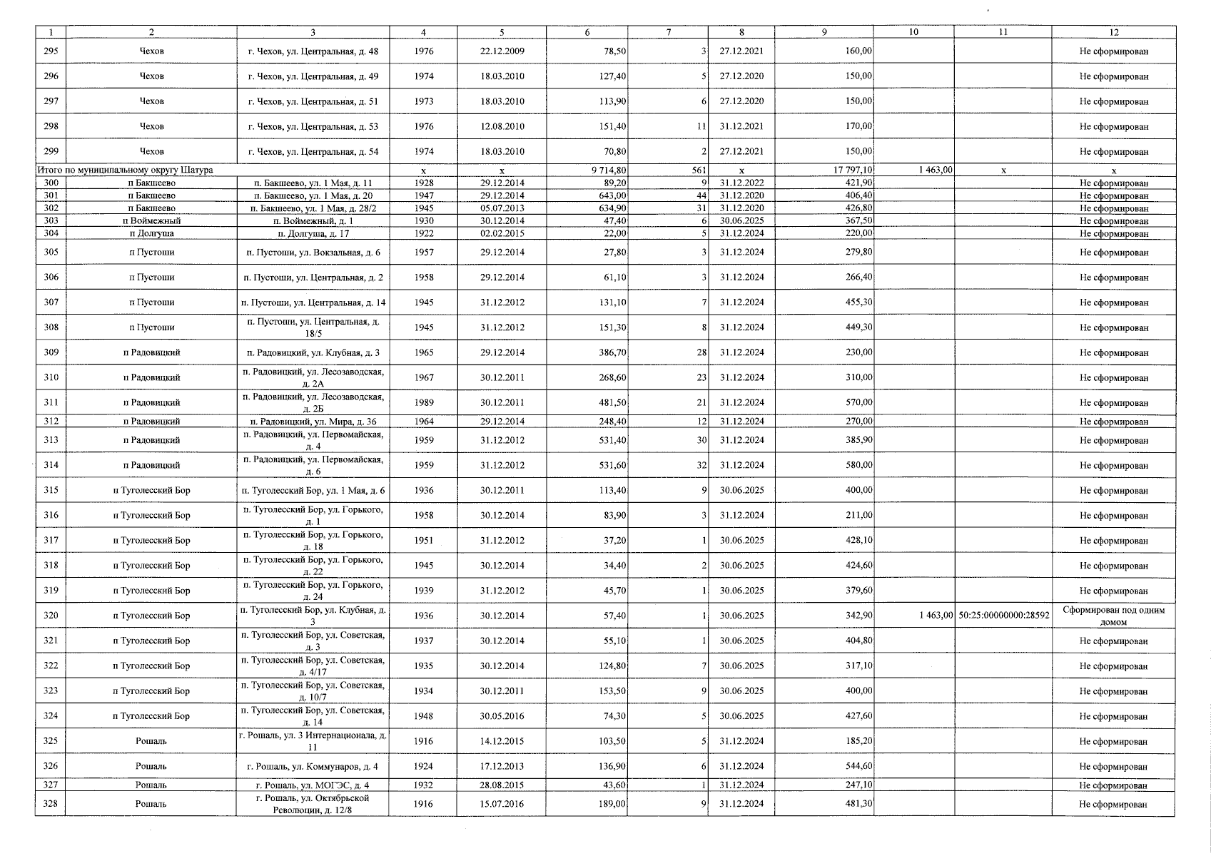
Постановление Правительства Московской области от 19.09.2025 № 1203-ПП
"О внесении изменений в государственную программу Московской области "Переселение граждан из аварийного жилищного фонда в Московской области"
Номер опубликования: 5000202510100006
Дата опубликования: 10.10.2025
Страница №147 из 201:
Увеличить