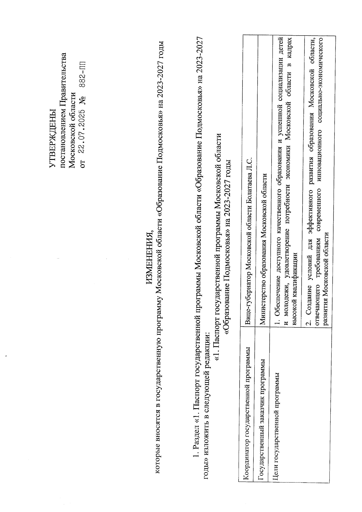
Постановление Правительства Московской области от 22.07.2025 № 882-ПП
"О внесении изменений в государственную программу Московской области "Образование Подмосковья" на 2023-2027 годы"
"О внесении изменений в государственную программу Московской области "Образование Подмосковья" на 2023-2027 годы"
Номер опубликования: 5000202507280004
Дата опубликования:
28.07.2025
