Официальное опубликование правовых актов
ОФИЦИАЛЬНОЕ ОПУБЛИКОВАНИЕ
Постановление Правительства Московской области от 23.06.2025 № 695-ПП
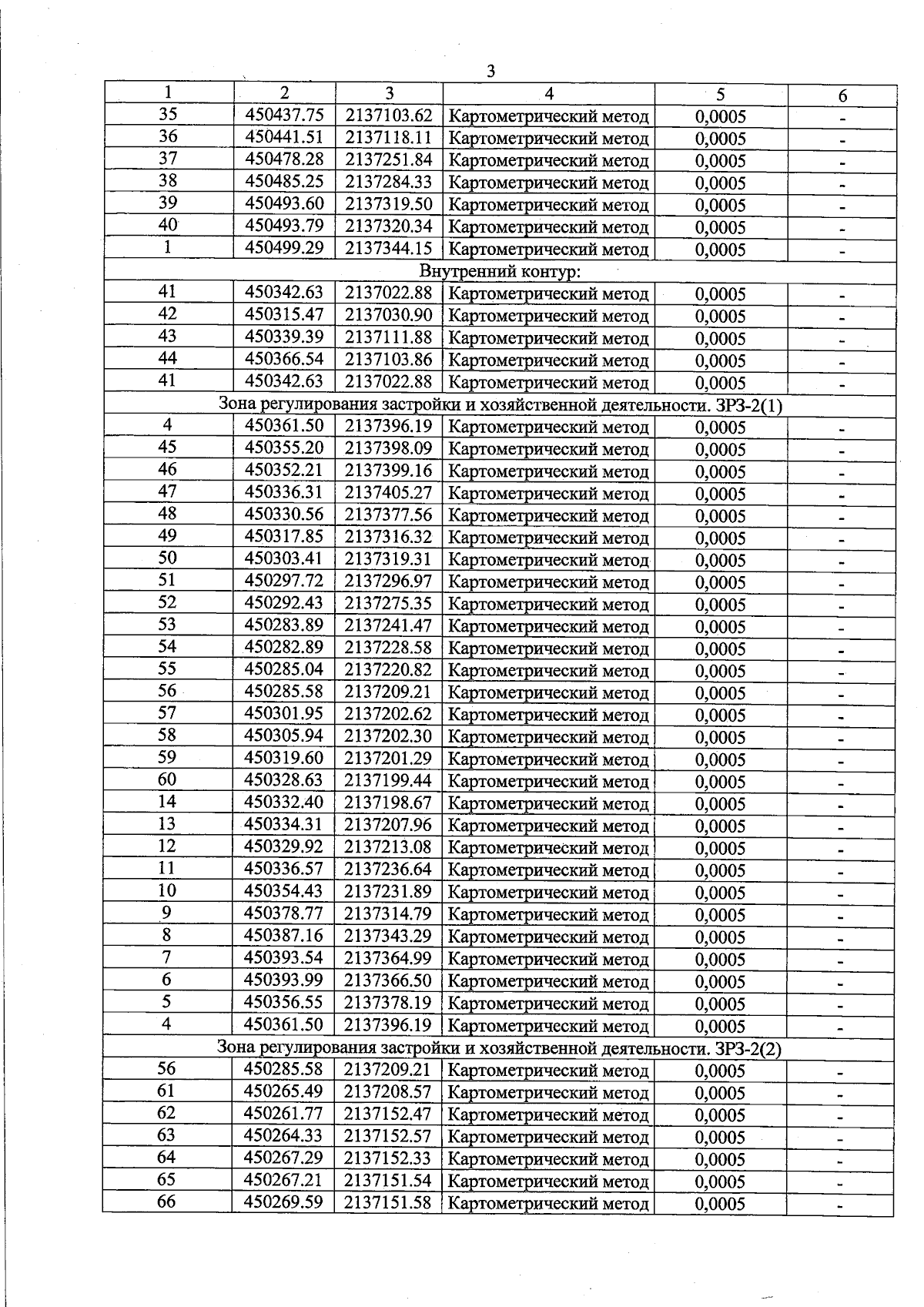
"Об установлении зон охраны объекта культурного наследия регионального значения "Железнодорожный вокзал станции Кубинка, начало ХХ века", расположенного по адресу: Московская область, Одинцовский городской округ, город Кубинка, площадь Привокзальная, строение 1, и об утверждении требований к градостроительным регламентам в границах территорий данных зон"
Номер опубликования: 5000202506240004
Дата опубликования: 24.06.2025
Страница №12 из 15:
Увеличить