Официальное опубликование правовых актов
ОФИЦИАЛЬНОЕ ОПУБЛИКОВАНИЕ
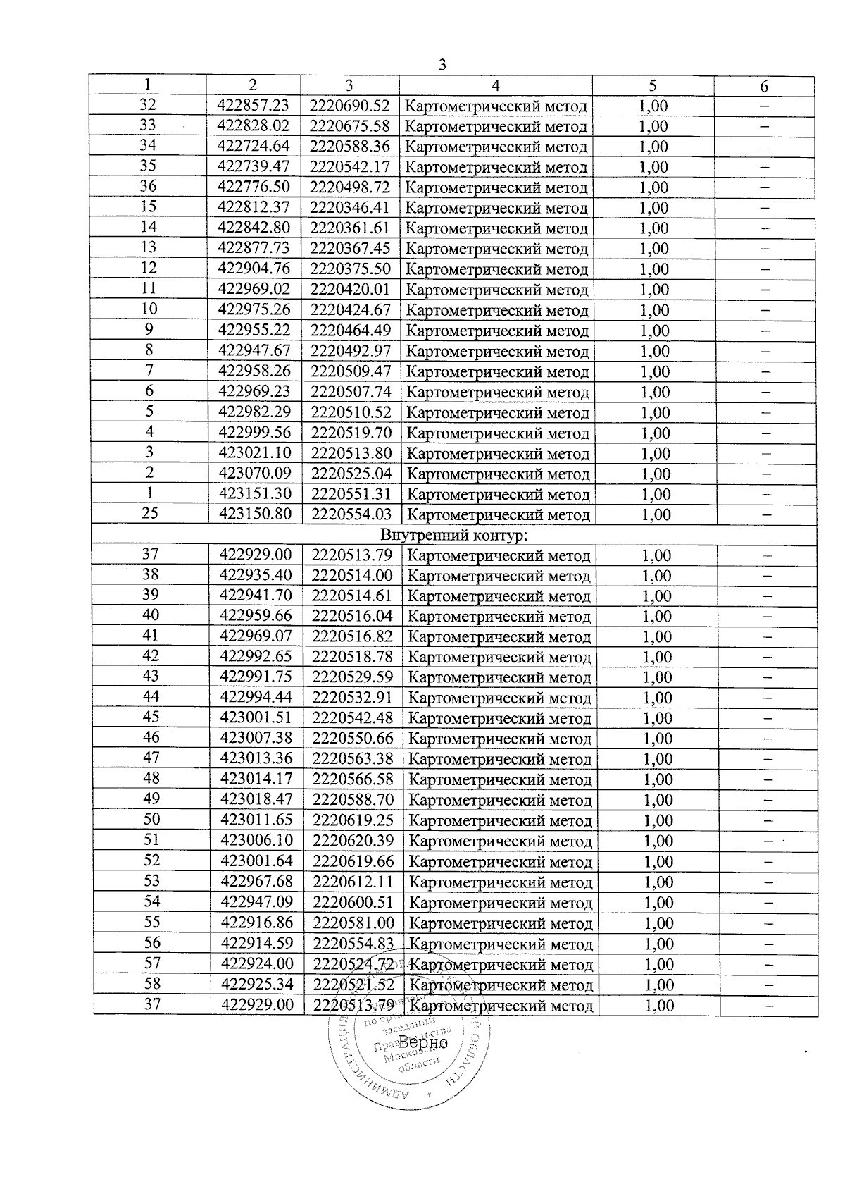
Постановление Правительства Московской области от 06.06.2025 № 625-ПП
"Об установлении зон охраны объекта культурного наследия регионального значения "Церковь Успения, 1794 г.", расположенного по адресу: Московская область, городской округ Домодедово, село Шубино, дом 37а, и об утверждении требований к градостроительным регламентам в границах территорий данных зон"
Номер опубликования: 5000202506090006
Дата опубликования: 09.06.2025
Страница №12 из 13:
Увеличить