Официальное опубликование правовых актов
ОФИЦИАЛЬНОЕ ОПУБЛИКОВАНИЕ
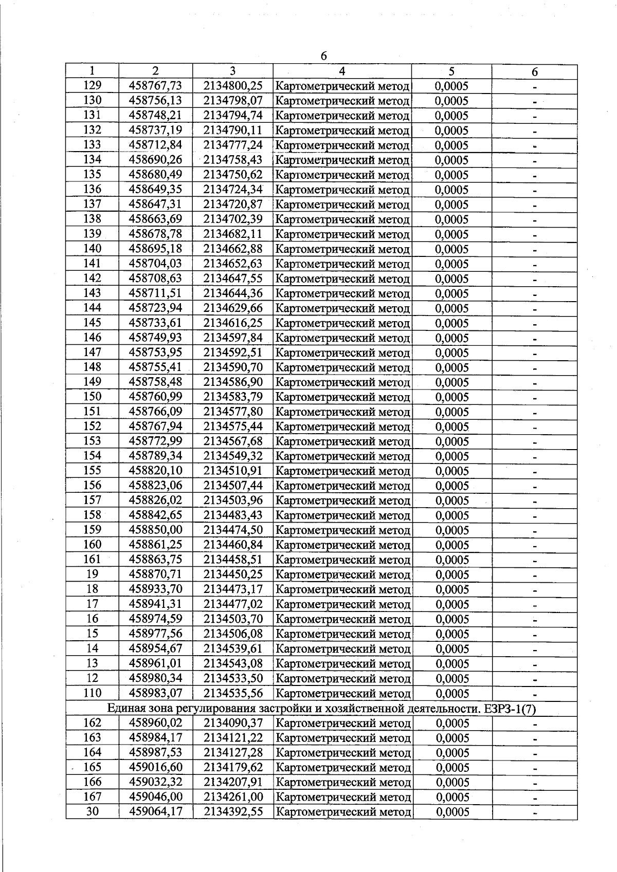
Постановление Правительства Московской области от 27.05.2025 № 574-ПП
"Об установлении объединенной зоны охраны объекта культурного наследия федерального значения "Церковь Троицы, 1765 г." и объекта культурного наследия регионального значения "Братская могила советских воинов, 1941 г.", расположенных по адресу: Московская область, Одинцовский городской округ, село Троицкое, и об утверждении требований к градостроительным регламентам в границах территории данной зоны"
Номер опубликования: 5000202505280005
Дата опубликования: 28.05.2025
Страница №29 из 38:
Увеличить