Официальное опубликование правовых актов
ОФИЦИАЛЬНОЕ ОПУБЛИКОВАНИЕ
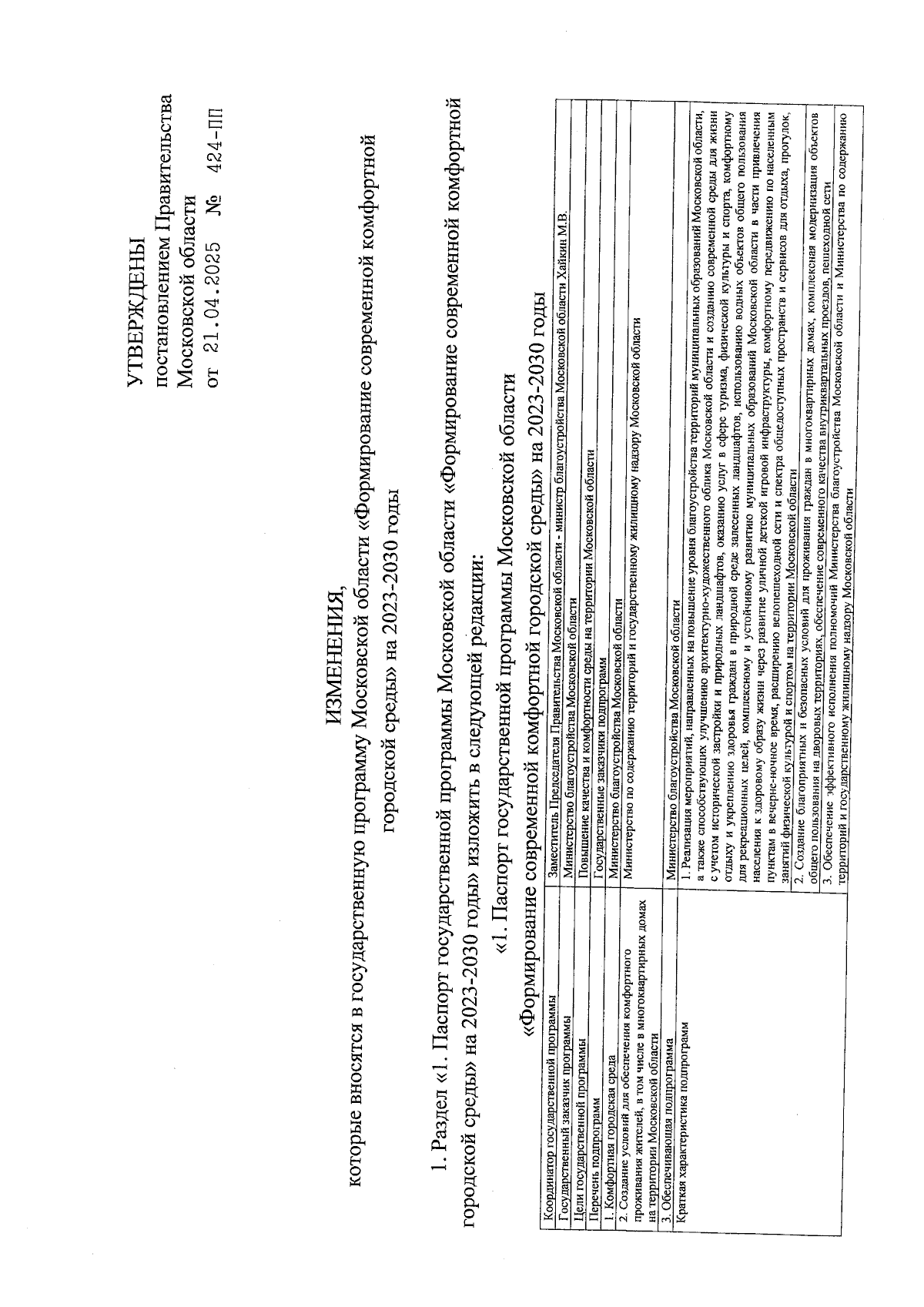
Постановление Правительства Московской области от 21.04.2025 № 424-ПП
"О распределении бюджетных ассигнований бюджета Московской области и внесении изменений в государственную программу Московской области "Формирование современной комфортной городской среды" на 2023-2030 годы"
Номер опубликования: 5000202504250006
Дата опубликования: 25.04.2025
Страница №4 из 8:
Увеличить