Официальное опубликование правовых актов
ОФИЦИАЛЬНОЕ ОПУБЛИКОВАНИЕ
Постановление Правительства Московской области от 17.04.2025 № 405-ПП
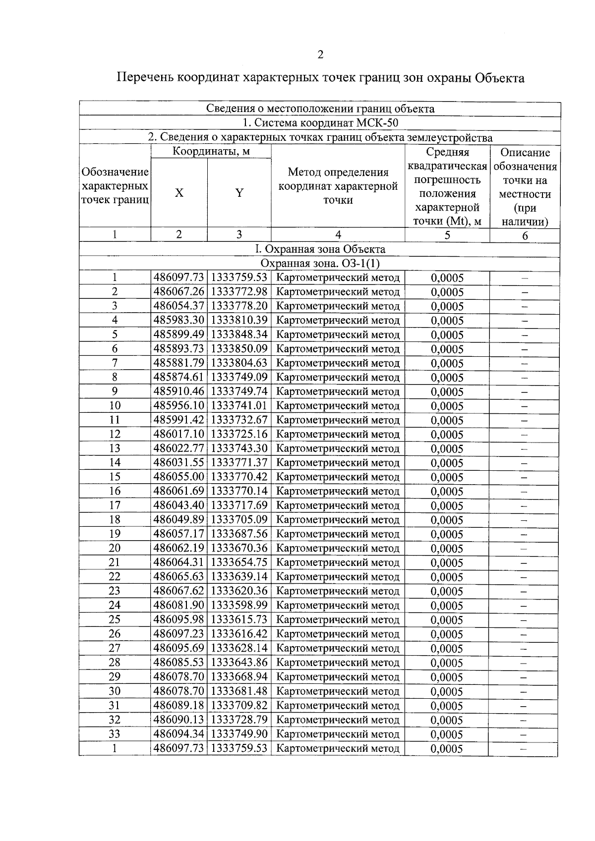
"Об установлении зон охраны объекта культурного наследия регионального значения "Часовня Николая Чудотворца, 1878 г.", расположенного по адресу: Московская область, муниципальный округ Истра, село Лучинское, улица Центральная, здание 75, и об утверждении требований к градостроительным регламентам в границах территорий данных зон"
Номер опубликования: 5000202504210014
Дата опубликования: 21.04.2025
Страница №17 из 25:
Увеличить