Официальное опубликование правовых актов
ОФИЦИАЛЬНОЕ ОПУБЛИКОВАНИЕ
Постановление Правительства Московской области от 08.04.2025 № 354-ПП
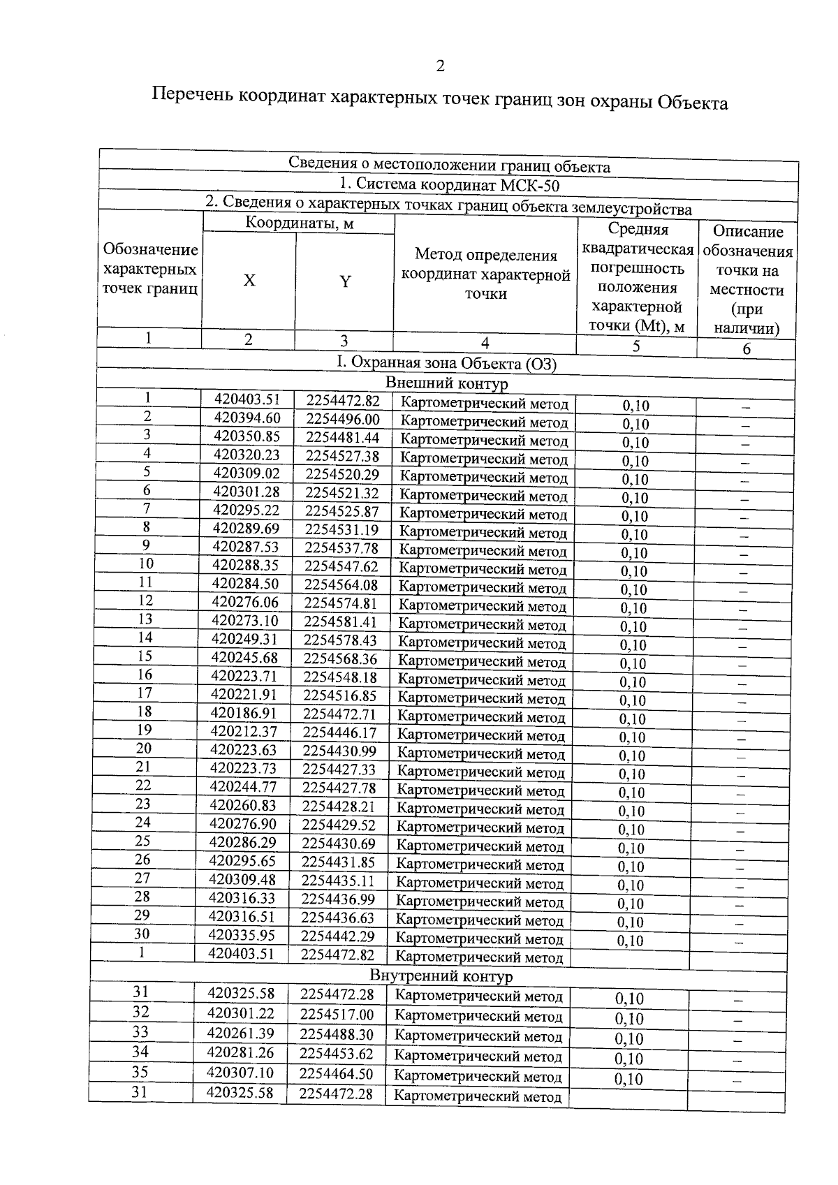
"Об установлении зон охраны объекта культурного наследия федерального значения "Церковь Ильи Пророка, XVIII-XIX вв.", расположенного по адресу: Московская область, городской округ Воскресенск, село Петровское, дом 83б, и об утверждении требований к градостроительным регламентам в границах территорий данных зон"
Номер опубликования: 5000202504100014
Дата опубликования: 10.04.2025
Страница №12 из 16:
Увеличить