Официальное опубликование правовых актов
ОФИЦИАЛЬНОЕ ОПУБЛИКОВАНИЕ
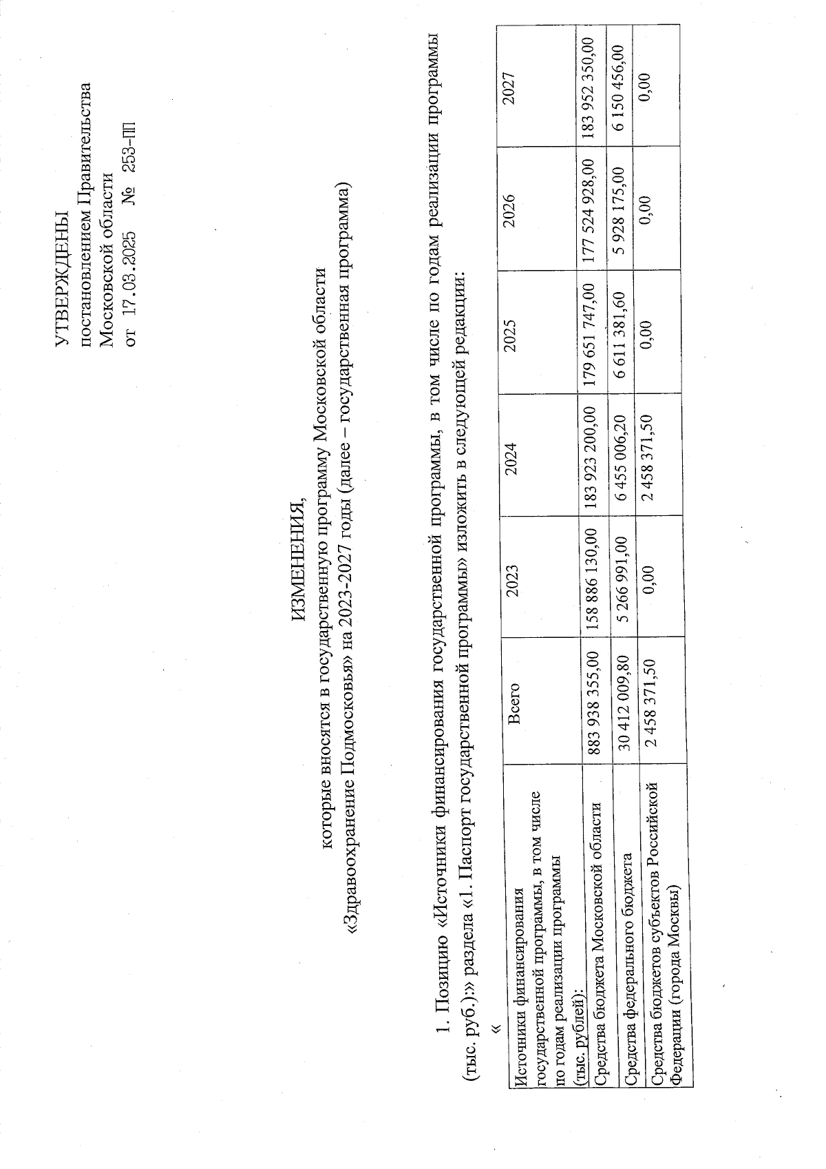
Постановление Правительства Московской области от 17.03.2025 № 253-ПП
"О распределении бюджетных ассигнований бюджета Московской области и внесении изменений в государственную программу Московской области "Здравоохранение Подмосковья" на 2023-2027 годы"
Номер опубликования: 5000202503250004
Дата опубликования: 25.03.2025
Страница №4 из 16:
Увеличить