Официальное опубликование правовых актов
ОФИЦИАЛЬНОЕ ОПУБЛИКОВАНИЕ
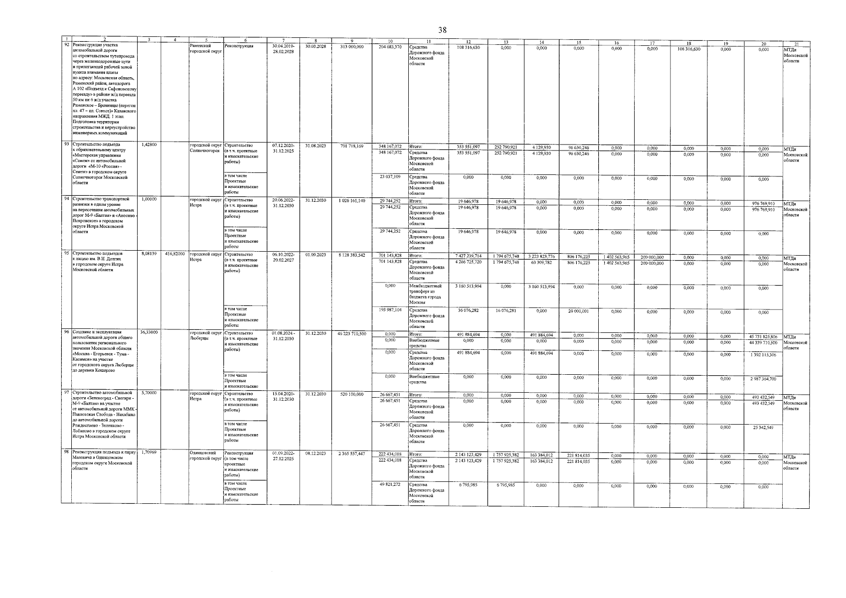
Постановление Правительства Московской области от 05.03.2025 № 196-ПП
"О распределении бюджетных ассигнований бюджета Московской области и внесении изменений в государственную программу Московской области "Развитие и функционирование дорожно-транспортного комплекса" на 2023-2029 годы"
Номер опубликования: 5000202503110001
Дата опубликования: 11.03.2025
Страница №41 из 48:
Увеличить