Официальное опубликование правовых актов
ОФИЦИАЛЬНОЕ ОПУБЛИКОВАНИЕ
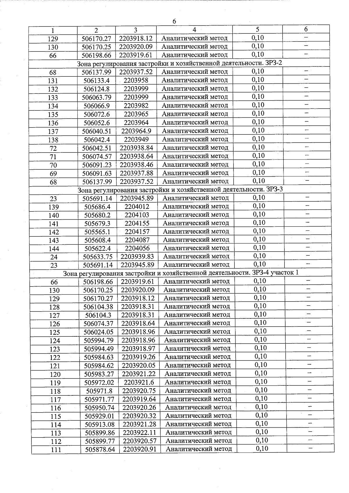
Постановление Правительства Московской области от 07.03.2025 № 209-ПП
"Об установлении зон охраны объекта культурного наследия регионального значения "Усадьба "Тишково": парк, 1760-1790-е гг., XIX в.", расположенного по адресу: Московская область, Городской округ Пушкинский, село Тишково, и об утверждении требований к градостроительным регламентам в границах территорий данных зон"
Номер опубликования: 5000202503100004
Дата опубликования: 10.03.2025
Страница №22 из 27:
Увеличить