Официальное опубликование правовых актов
ОФИЦИАЛЬНОЕ ОПУБЛИКОВАНИЕ
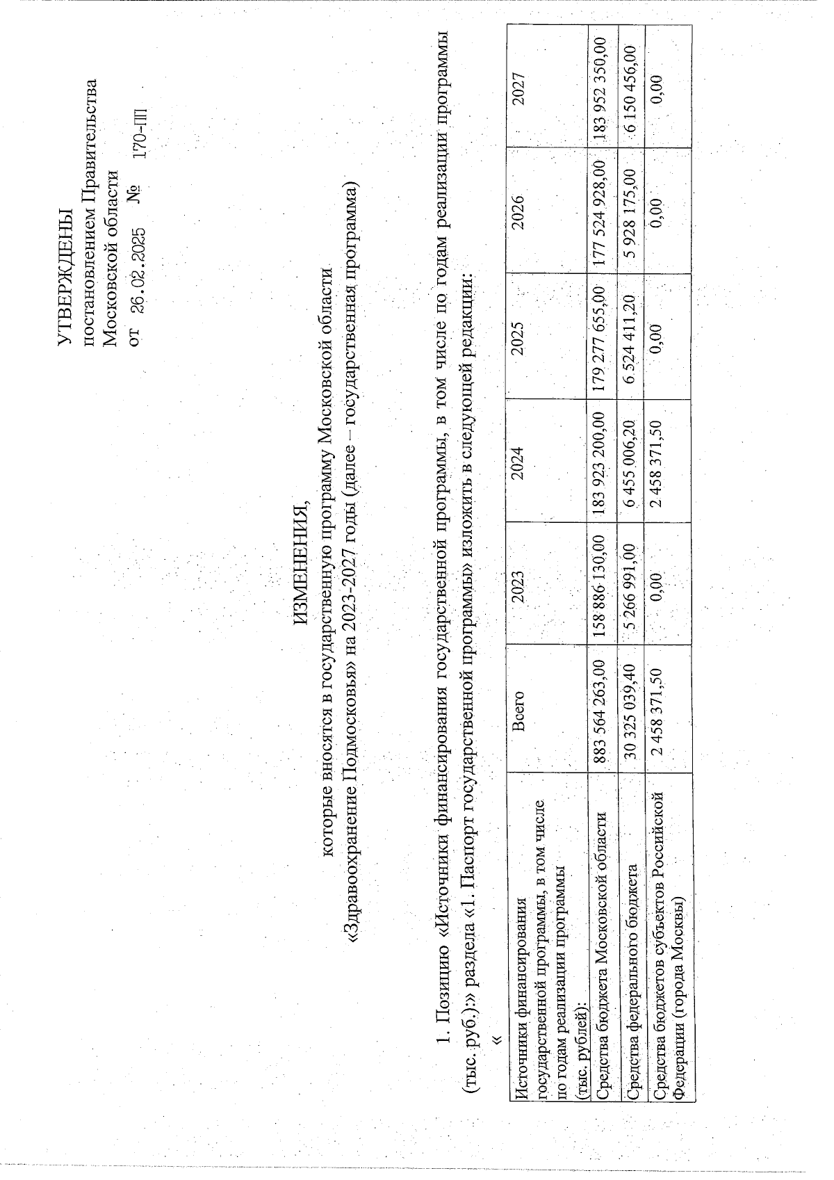
Постановление Правительства Московской области от 26.02.2025 № 170-ПП
"О внесении изменений в государственную программу Московской области "Здравоохранение Подмосковья" на 2023-2027 годы"
Номер опубликования: 5000202503040001
Дата опубликования: 04.03.2025
Страница №3 из 9:
Увеличить