Официальное опубликование правовых актов
ОФИЦИАЛЬНОЕ ОПУБЛИКОВАНИЕ
Постановление Правительства Московской области от 31.01.2025 № 81-ПП
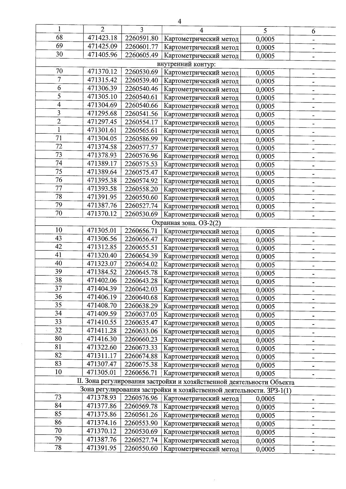
"Об установлении зон охраны объекта культурного наследия регионального значения "Комплекс домов купца и трактирщиков Сачкова и Воеводина, вт. пол. XIX в.", расположенного по адресу: Московская область, Павлово-Посадский городской округ, город Павловский Посад, площадь Революции, дом 13, дом 15, и об утверждении требований к градостроительным регламентам в границах территорий данных зон"
Номер опубликования: 5000202502030003
Дата опубликования: 03.02.2025
Страница №15 из 18:
Увеличить