Официальное опубликование правовых актов
ОФИЦИАЛЬНОЕ ОПУБЛИКОВАНИЕ
Постановление Правительства Московской области от 31.01.2025 № 84-ПП
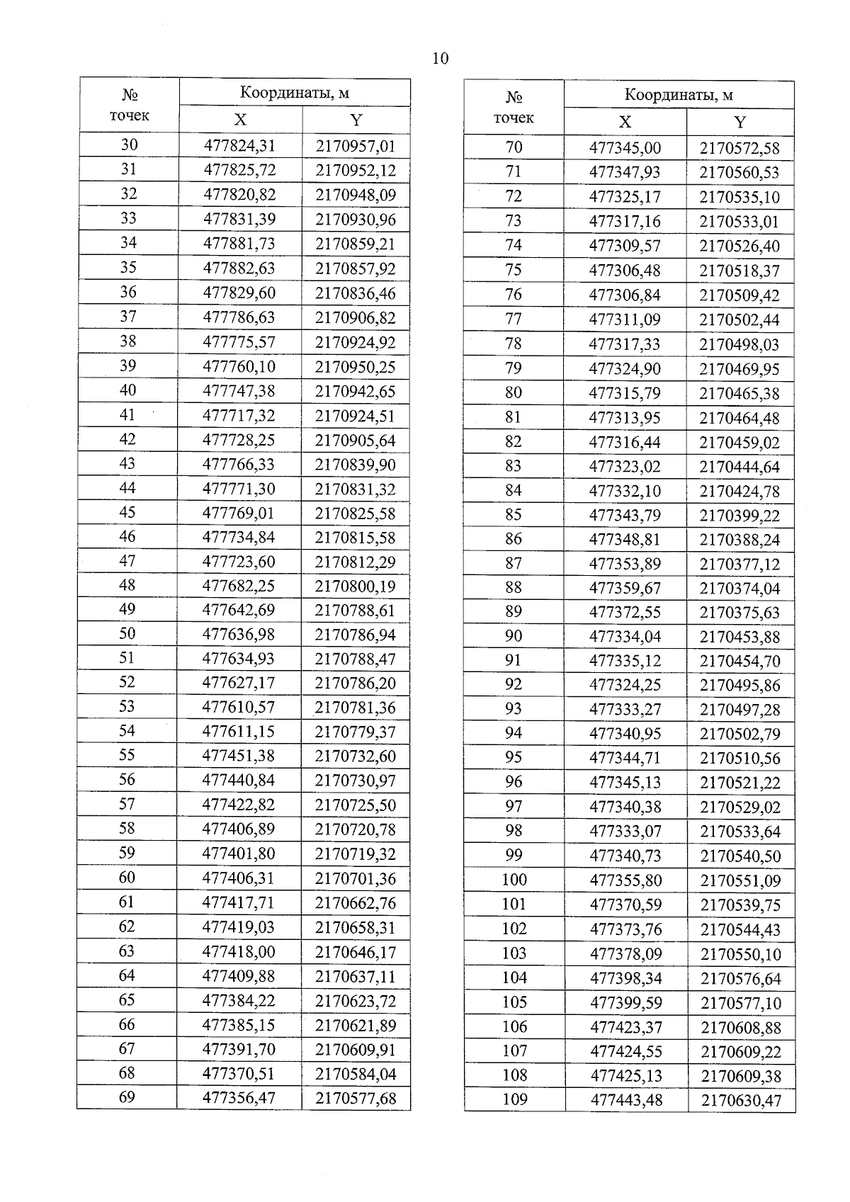
"О внесении изменений в постановление Правительства Московской области от 16.10.2019 № 758/36 "Об утверждении документации по планировке территории для строительства путепровода через ж/д на км 1 автодороги Аникеевка - Нахабино (платформа Аникеевка) в городском округе Красногорск Московской области"
Номер опубликования: 5000202502030001
Дата опубликования: 03.02.2025
Страница №12 из 65:
Увеличить