Официальное опубликование правовых актов
ОФИЦИАЛЬНОЕ ОПУБЛИКОВАНИЕ
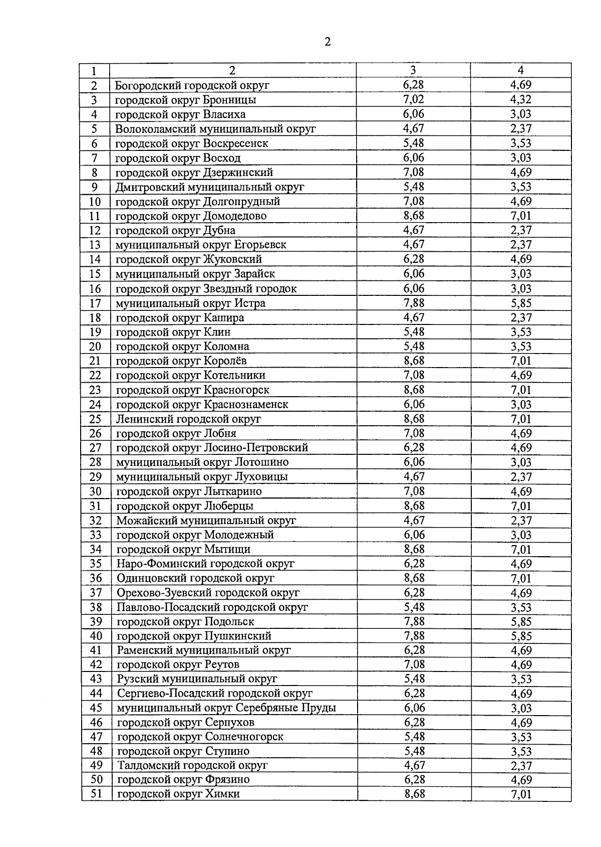
Закон Московской области от 25.12.2024 № 273/2024-ОЗ
"О внесении изменений в Закон Московской области "О денежном содержании лиц, замещающих муниципальные должности в Московской области, и муниципальных служащих муниципальных образований Московской области"
Номер опубликования: 5000202412280020
Дата опубликования: 28.12.2024
Страница №5 из 6:
Увеличить