Официальное опубликование правовых актов
ОФИЦИАЛЬНОЕ ОПУБЛИКОВАНИЕ
Постановление Правительства Московской области от 23.12.2024 № 1644-ПП
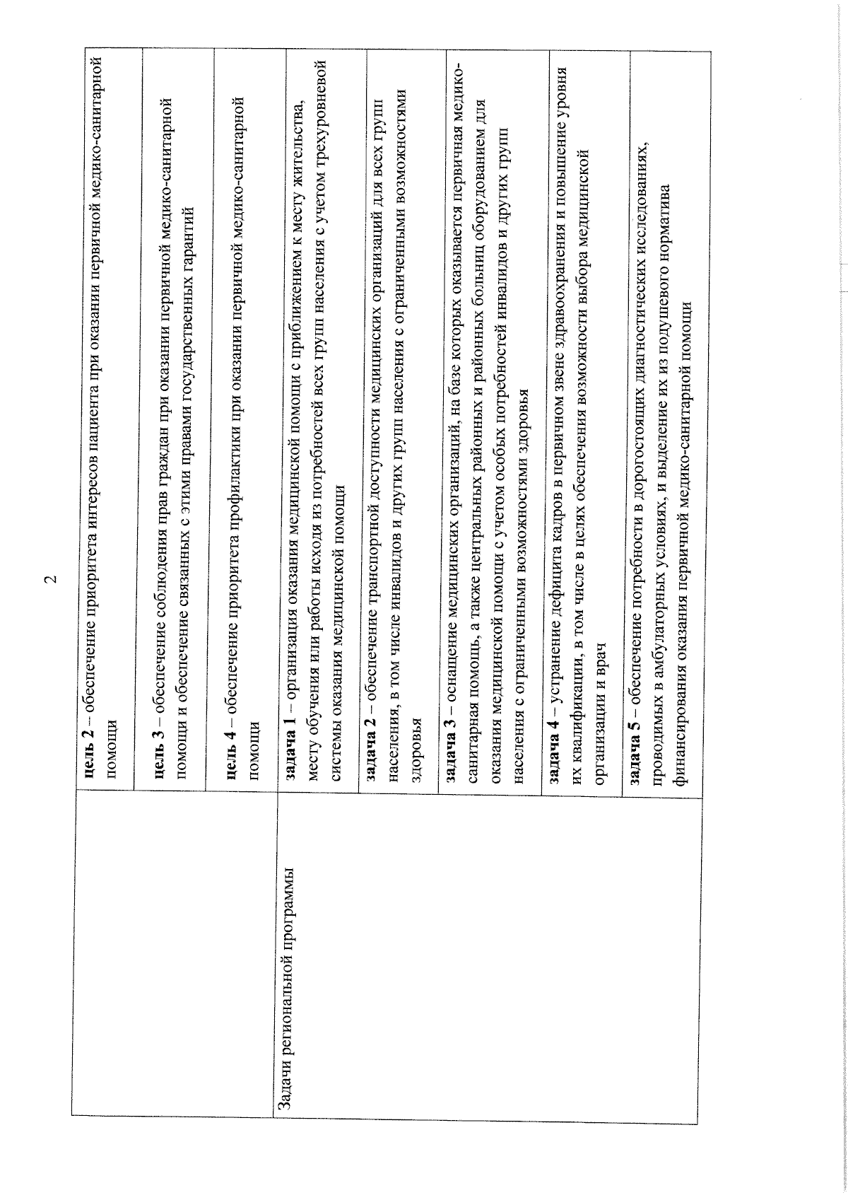
"О внесении изменений в постановление Правительства Московской области от 15.12.2020 № 952/42 "Об утверждении Региональной программы модернизации первичного звена здравоохранения Московской области на 2021-2025 годы"
Номер опубликования: 5000202412240010
Дата опубликования: 24.12.2024
Страница №5 из 420:
Увеличить