Официальное опубликование правовых актов
ОФИЦИАЛЬНОЕ ОПУБЛИКОВАНИЕ
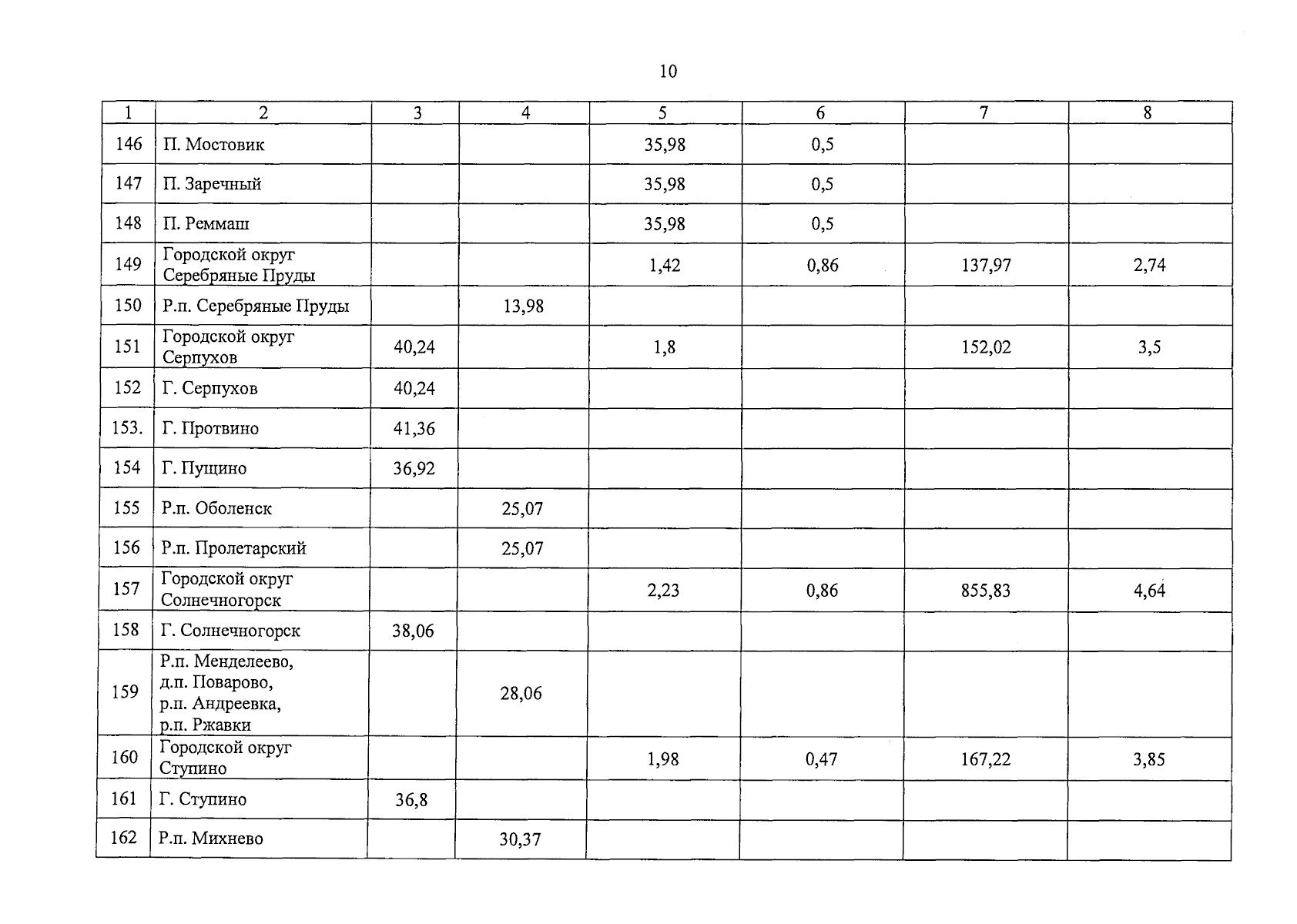
Закон Московской области от 06.12.2024 № 237/2024-ОЗ
"Об установлении базового размера арендной платы за земельные участки, находящиеся в собственности Московской области или государственная собственность на которые не разграничена на территории Московской области, на 2025 год"
Номер опубликования: 5000202412110006
Дата опубликования: 11.12.2024
Страница №14 из 17:
Увеличить