Официальное опубликование правовых актов
ОФИЦИАЛЬНОЕ ОПУБЛИКОВАНИЕ
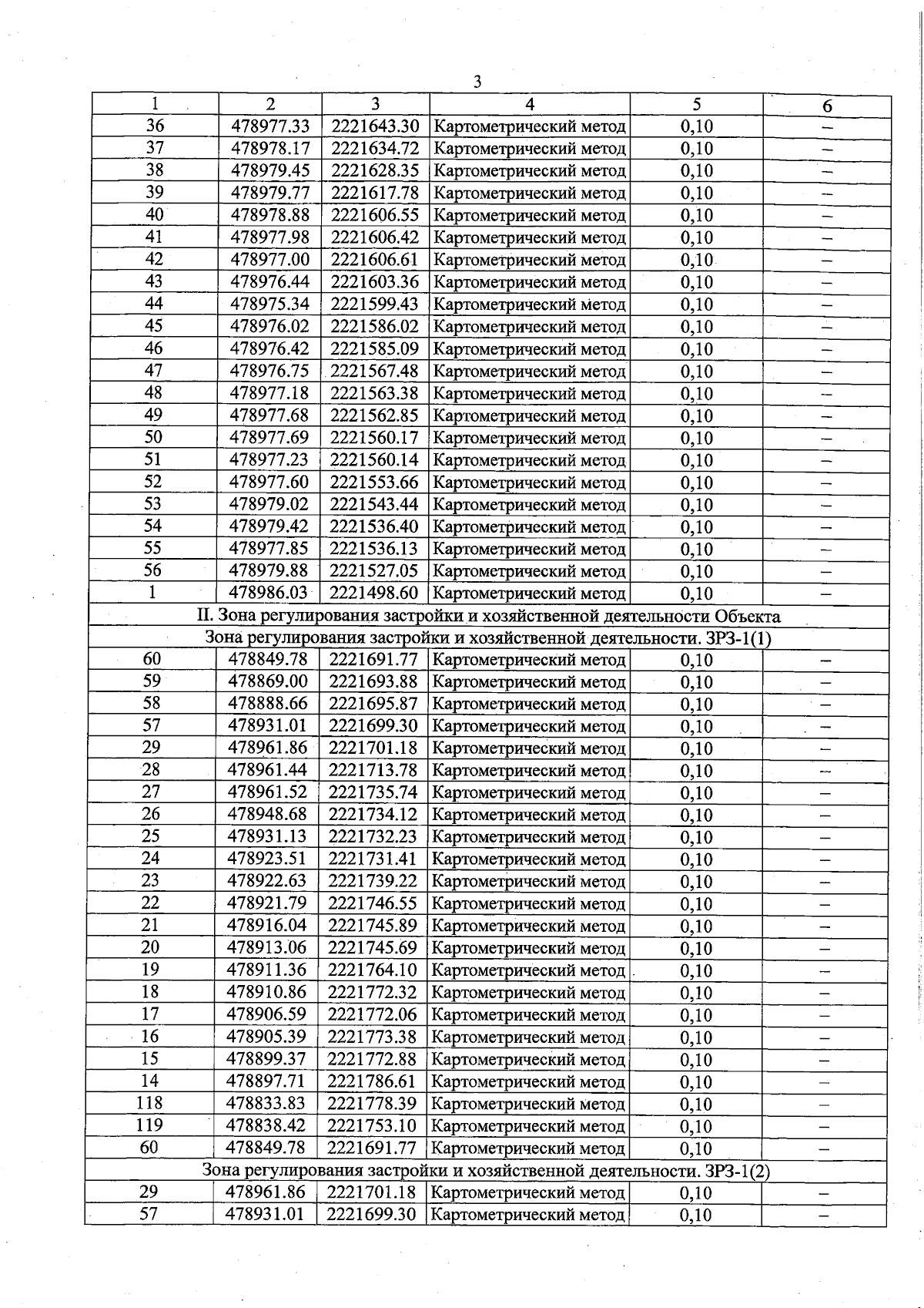
Постановление Правительства Московской области от 01.11.2024 № 1327-ПП
"Об установлении зон охраны объекта культурного наследия федерального значения "Усадьба Алмазово, XIX в.: главный дом; западный и восточный флигели; церковь Сергиевская; парк", расположенного по адресу: Московская область, городской округ Щёлково, деревня Алмазово, и об утверждении требований к градостроительным регламентам в границах территорий данных зон"
Номер опубликования: 5000202411020002
Дата опубликования: 02.11.2024
Страница №16 из 22:
Увеличить